1 Department of Cardiology, Tangdu Hospital, Air Force Medical University, 710038 Xi'an, Shaanxi, China
2 Department of Cardiology, The Second Affiliated Hospital of Xi'an Jiaotong University, 710004 Xi'an, Shaanxi, China
3 Department of Intervention Radiology, Tangdu Hospital, Air Force Medical University, 710038 Xi'an, Shaanxi, China
†These authors contributed equally.
Abstract
Background: Provisional stenting is the preferred strategy for non-left
main bifurcation lesions. However, its superiority over planned double stenting
for unprotected left main distal bifurcation (UPLMB) lesions remains unclear.
Previous studies have reported conflicting results. Methods: Randomised
controlled trials (RCTs) and observational studies comparing the outcomes of
provisional stenting to planned double stenting for UPLMB lesions were
identified. The primary endpoint was major adverse cardiac events (MACE). The
secondary endpoints were myocardial infarction (MI), target vessel
revascularisation (TVR), target lesion revascularisation (TLR), all-cause death,
cardiac death and stent thrombosis (ST). Aggregated odds ratios (OR) and 95%
confidence intervals were calculated. A sensitivity analysis was conducted
if I
Keywords
- bifurcation
- double stenting
- left main
- MACE
- provisional stenting
An unprotected left main distal bifurcation (UPLMB) lesion is a lesion that involves the distal bifurcation of the left main (LM) coronary artery [1, 2]. It remains one of the most challenging lesions in the field of cardiac interventional therapy because of its unique anatomical location and geometry [3]. LM lesions include protected and unprotected lesions based on the presence of blood supply from the vascular bridge or good collateral circulation from the right coronary artery. Among all types of coronary artery lesions, UPLMB has the worst prognosis. Currently, there are two percutaneous coronary intervention (PCI) strategies for UPLMB lesions: stepwise provisional stenting and planned double stenting. The stepwise provisional stenting strategy involves placing stents in the main vessel crossing over the side branch and another stent, if necessary, in the branch vessel. The planned double stenting strategy involves placing stents both in the main vessel and the branch vessels. The former has been proven to be the preferred strategy for non-LM bifurcation lesions [4]. However, controversy still remains regarding which strategy is superior for UPLMB lesions. There have only been two multicentre randomised controlled trials (RCTs) addressing this issue, and they drew conflicting conclusions. In the DKCRUSH-V Registry, Chen et al. [5] concluded that provisional stenting increased the rate of target lesion revascularisation failure (TLF) and stent thrombosis (ST) over three years of follow-up. In contrast, the European Bifurcation Club Left Main (EBCLM) trial proved that provisional stenting had a lower rate of major adverse cardiac events (MACE) [6]. Other observational cohort studies have also not come to consistent conclusions. Therefore, we performed this systematic review and meta-analysis to clarify which of the two interventional strategies was superior. We also compared the long-term outcomes in the drug-eluting stent (DES) era with the goal to provide convincing data-based medical evidence for selecting the best PCI plan for UPLMB patients.
A comprehensive search was conducted using PubMed, Embase, Ovid Medline, Cochrane Database, Web of science, CNKI and ClinicalTrails.gov. RCTs and observational studies comparing provisional and planned double stenting for distal UPLMB disease published from library or database construction to 1 Jan. 2023, were searched. The key search terms included “left main”, “provisional”, “double”, “one”, “two”, “simple” and “complex”. The search terms were retrieved using a free combination method, and all relevant references were evaluated for additional studies that were not identified from the initial database searches. The search strategy is presented in Supplementary Table 1. This study was conducted in accordance with the Preferred Reporting Items for Systematic Reviews and Meta-Analyses statement (Supplementary Table 2).
Inclusion criteria were: (1) RCTs and observational studies comparing provisional stenting and planned double stenting strategies for distal UPLMB disease; (2) comparable general information between the two strategies; (3) DES stents used in both strategies; and (4) outcome indicators including at least one of MACE, all-cause death, cardiac death, myocardial infarction (MI), target vessel revascularisation (TVR), target lesion revascularisation (TLR), or ST. Exclusion criteria were: (1) incomplete or ambiguous data; (2) follow-up period of less than 6 months; and (3) studies that shared the same participants.
Two reviewers in the research group (DL and HL) independently screened the retrieved literature and extracted information. In case of disagreement of the status of the study, it was resolved through discussion with a third reviewer (CG). The extracted data included: (1) basic information of the enrolled studies, including first author, publication year, follow-up period, and study type; (2) general data of participants, including sample size, mean age, gender ratio, ethnicity, clinical diagnosis, medication, and lesion characteristics; (3) PCI strategy, including provisional, T, V, Y, Crush, double kissing technique (DK)-Crush, culotte, etc.; (4) outcome indicators, including all-cause death, cardiac death, MI, TLR, TVR, ST, and MACE; and (5) other information such as stent type and number, intravascular ultrasound (IVUS), and proximal optimal technique (POT).
The primary endpoint of this meta-analysis was MACE, defined as a composite of death, MI and TLR/TVR. The composition varied among the enrolled studies, and this review adopted the initial definition of the studies. In some articles, MACE is defined as TLF. The secondary endpoints were ST and the individual components of the primary endpoint, including all-cause death, cardiac death, MI, TLR, TVR, and ST. The definitions of every endpoint in each study are summarized in Supplementary Table 3.
DL and HL conducted bias risk assessment. CG resolved any disparity by arbitration. RCTs were assessed by the Cochrane Collaboration tool 5.3 (the Cochrane Collaboration, Copenhagen, Denmark) [7], while observational studies were assessed by the Newcastle-Ottawa Quality Assessment Scale (NOS) [8].
STATA/MP 17.0 (Stata Corporation, College Station, TX, USA) was used to calculate aggregated odds ratios (OR) at 95%
confidence intervals. Heterogeneity between the studies was explored using the
I
Fig. 1 describes the flowchart that was employed to identify qualifying studies for this meta-analysis. Six databases and ClinicalTrails.gov were searched. From 921 identified studies, 570 were excluded for being duplicates, 333 for not meeting the inclusion criteria, four for not being retrievable, and two for meeting the exclusion criteria. Nine were added through reviewing the relevant references. Finally, 21 studies were enrolled [5, 6, 9, 10, 11, 12, 13, 14, 15, 16, 17, 18, 19, 20, 21, 22, 23, 24, 25, 26, 27]. Nineteen studies had data on MACE [5, 6, 9, 10, 11, 13, 14, 15, 16, 17, 18, 19, 20, 21, 23, 24, 25, 26, 27], 18 had data on MI [5, 6, 10, 11, 12, 13, 14, 15, 16, 17, 20, 21, 22, 23, 24, 25, 26, 27], 17 had data on TLR [5, 6, 9, 11, 12, 13, 14, 15, 16, 17, 18, 19, 20, 23, 24, 25, 26], six had data on TVR [10, 11, 13, 15, 21, 27], 16 had data on ST [5, 6, 10, 11, 13, 15, 16, 18, 19, 20, 21, 22, 23, 25, 26, 27], 11 had data on cardiac death [5, 13, 15, 16, 17, 19, 20, 21, 22, 24, 25], and 14 had data on all-cause death [6, 9, 10, 11, 12, 13, 14, 19, 20, 22, 23, 24, 25, 27]. The studies were performed from 2002 to 2019, and the publication years ranged from 2006 to 2022. A total of 11,672 patients were enrolled in the study. The general characteristics of the studies are listed in Table 1 (Ref. [5, 6, 9, 10, 11, 12, 13, 14, 15, 16, 17, 18, 19, 20, 21, 22, 23, 24, 25, 26, 27]). Detailed information regarding the patients and procedures are listed in Table 2 (Ref. [5, 6, 9, 10, 11, 12, 13, 14, 15, 16, 17, 18, 19, 20, 21, 22, 23, 24, 25, 26, 27]).
Fig. 1.Literature retrieval process.
| Study | Country/Territory | Center | Data from | Study period | Follow-up period | Study type |
| Chen, 2019 [5] | 6 countries | 27 centers | DKCRUSH-V registry | Dec. 2011–Feb. 2016 | 1,2 and 3 years | RCT |
| Hildick-Smith, 2021 [6] | 11 European countries | 31 centers | EBC MAIN registry | Feb. 2016–Nov. 2019 | 1 year | RCT |
| Gao, 2015 [11] | China | 1 center | Local database | Jan. 2004–Dec. 2010 | 4 years | Non-RCT |
| Kawamoto, 2018 [25] | Europe and Japanese | 6 centers | FAILS 2 registry | Jul. 2006–Mar. 2015 | 1 year, 3 years | Non-RCT |
| Kim, 2010 [14] | Korea | 12 centers | MAIN-COMPARE registry | May 2003–Jun. 2006 | 3 years | Non-RCT |
| Palmerini, 2008 [17] | Italy | 19 centers | Local database, GISE-SICI registry | Jan. 2002–Dec. 2006 | 2 years | Non-RCT |
| Valgimigli, 2006 [27] | Netherlands | 1 center | REAEARCH, T-SEARCH registry | Apr. 2002–Jun. 2004 | 587 days | Non-RCT |
| Zhang, 2015 [21] | China | - | Local database | May 2009–May 2013 | 1 year | Non-RCT |
| Sarma, 2021 [9] | Italy | 1 center | Local database | Apr. 2013–Jul. 2018 | 2 years | Non-RCT |
| Lee, 2020 [13] | International | Multi-centers | IRIS-DES, IRIS-MAIN registry | May 2003–Jul. 2015 | 3.5 years | Non-RCT |
| Choi, 2020 [24] | Korea | 21 centers | COBIS III registry | Jan. 2010–Dec. 2014 | 53 months | Non-RCT |
| Ferenc, 2018 [19] | Germany | - | BBK registry | Jan. 2004–Dec. 2014 | 3.1 years | Non-RCT |
| Cho, 2018 [18] | Korea | 8+16 centers | KOMATE, COBIS II registry | Feb. 2002–Sep. 2013 | 25.9 months | Non-RCT |
| Kandzari, 2018 [22] | International | Multi-centers | EXCEL registry | - | 3 years | Non-RCT |
| Rigatelli, 2022 [16] | Italy | 1 center | Local database | Jan. 2008– May 2018 | 37.1 months | Non-RCT |
| Chen, 2012 [15] | China | 1 center | Local database | Mar. 2004–Apr. 2007 | 5 years | Non-RCT |
| Kim, 2006 [12] | Korea | - | Local database | Mar. 2003–Nov. 2004 | 18 months | Non-RCT |
| Migliorini, 2017 [10] | Italy | 1 center | Florence ULMD PCI registry | May 2008–Jul. 2015 | 1 years | Non-RCT |
| D’Ascenzo, 2016 [26] | Europe | 9 centers | Local database | 2002–2004 | 10 years | Non-RCT |
| Nasir, 2020 [23] | Pakistan | 1 center | Local database | Jan. 2017 to Apr. 2018 | 6 months | Non-RCT |
| Alasmari, 2022 [20] | 3 Gulf Countries | - | Gulf Left Main Registry | Jan. 2015 to Dec. 2019 | 20 months | Non-RCT |
RCT, randomized control trial.
| Study | Intervention | Sample size | Age, year | Male, % | DM, % | Hypertension, % | Dyslipidaemia, % |
| Chen, 2019 [5] | DK-Crush vs. PS | 242/240 | 64/65 | 77.7/82.9 | 25.6/28.8 | 64.5/72.9 | 47.5/47.5 |
| Hildick-Smith, 2021 [6] | PS vs. Culotte, DK-minicrush, T or TAP vs. PS | 230/237 | 70.8/71.4 | 79/74 | 29/27 | 79/82 | 70/72 |
| Gao, 2015 [11] | PS vs. DK-Crush, Classic crush, T, V, SKS vs. PS | 661/372 | 60/60 | 81.1/81.7 | 22.7/26.3 | 55.4/56.7 | 49.5/49.5 |
| Kawamoto, 2018 [25] | PS vs. Culotte, Crush, Mini-crush, T, V vs. PS | 216/161 | 70.8/70.4 | 78.7/79.5 | 46.7/38.6 | 83.8/78.3 | 69.8/66.2 |
| Kim, 2010 [14] | PS vs. Culotte, Crush, Kissing, T, V vs. PS | 234/158 | 71.3/71.2 | 72.6/76.6 | 36.5/29.1 | 54.7/56.1 | 35.8/35.9 |
| Palmerini, 2008 [17] | PS vs. Culotte, Crush, T, V vs. PS | 456/317 | 72/70 | 73.6/77.2 | 33.0/24.3 | - | 63.4/68.3 |
| Valgimigli, 2006 [27] | - | 48/46 | 64/63 | 67/60 | 25/28 | 58/69 | 61/70 |
| Zhang, 2015 [21] | PS vs. Culotte, Mini-crush, T, V vs. PS | 50/38 | 56.8/62.1 | 68.0/73.7 | 14.0/15.8 | 64.0/78.9 | 20.0/28.9 |
| Sarma, 2021 [9] | PS vs. T, TAP, DK-Crush, culotte, crush, mini crush vs. PS | 56/11 | 57.77/60.90 | 71/81 | 48/81 | 57/72 | -/18 |
| Lee, 2020 [13] | - | 440/562 | 64.4/64.4 | 77.3/77.9 | 39.1/35.2 | 63.6/64.2 | 14.5/9.4 |
| Choi, 2020 [24] | PS vs. Culotte, Crush, Kissing, T, V, TAP, Kissing vs. PS | 682/253 | 65.0/66.8 | 76.8/73.9 | 38.4/37.2 | 61.4/54.5 | 41.1/32.0 |
| Ferenc, 2018 [19] | PS vs. Culotte, TAP vs. PS | 477/390 | 70.6/70.2 | 74.8/74.6 | 29.4/28.5 | 84.7/83.6 | - |
| Cho, 2018 [18] | PS vs. Culotte, Crush, Kissing, T, V, Kissing vs. PS | 951/381 | - | 74.6/72.6 | 34.1/30.7 | 60.1/59.9 | 46.3/37.7 |
| Kandzari, 2018 [22] | PS vs. T, modified T, TAP, Culotte, Crush, mini-crush, V, Kissing | 344/185 | 66.2/66.8 | 79.9/76.2 | 28.8/34.6 | 73.8/76.2 | 73.0/70.1 |
| Rigatelli, 2022 [16] | PS vs. Culotte, TAP, Nano-inverted-T vs. PS | 171/396 | - | 53.2/56.8 | 28.1/20.5 | 55.6/44.2 | 40.9/33.8 |
| Chen, 2012 [15] | PS vs. DK-Crush, culotte, T, Kissing, Crush vs. PS | 232/401 | 67.7/66.7 | 79.3/79.6 | 29.7/27.4 | 76.7/70.1 | 51.3/53.9 |
| Kim, 2006 [12] | PS vs. Kissing, Crush vs. PS | 69/49 | 59.6/60.6 | 71.6/77.6 | 35.8/22.4 | 50.7/34.7 | 25.4/16.3 |
| Migliorini, 2017 [10] | PS vs. Crush vs. PS | 278/127 | 72/70 | 79/82 | 21/35 | 66/69 | 54/59 |
| D’Ascenzo, 2016 [26] | PS vs. T, Crush vs. PS | 174/85 | 66/65 | 79/79 | 43/36 | 73/71 | 72/77 |
| Nasir, 2020 [23] | PS vs. DK-Crush, mini-crush, culotte and T | 73/30 | 64.0/61.5 | 72.6/93.3 | 43.8/50 | 43.8/26.7 | - |
| Alasmari, 2022 [20] | PS vs. Culotte, DK-Crush | 173/1049 | 62.30/65.85 | 78.0/72.4 | 59.0/66.9 | 68.6/71.6 | 64.5/68.7 |
DM, diabetes mellitus; PS, provisional stenting; TAP, T stenting and small protrusion technique; SKS, simultaneous kissing stents technique; DK, double kissing technique; T, T stenting technique; V, V stenting technique; MI, myocardial infarction; PCI, percutaneous coronary intervention; IVUS, intravascular ultrasound; ACS, acute coronary syndromes.
| Renal impairment, % | Prior MI, % | Current smoker, % | Prior PCI, % | Prior stroke, % | Peripheral vascular disease, % | IVUS | Stent type, % |
| - | 21.1/21.7 | - | - | - | - | - | 2nd generation 100/100 |
| 5/4 | 26/28 | 16/13 | 41/43 | 7/7 | 14/16 | 36/31 | zotarolimus 100/100 |
| - | 24.2/25.8 | 28.0/27.7 | 20.9/28.2 | 6.5/6.5 | 4.8/6.2 | 32.2/53.8 | sirolimus 65.0/64.9 |
| paclitaxel 13.9/23.8 | |||||||
| 2nd generation 21.1/11.4 | |||||||
| 48.7/47.4 | 37.4/28.1 | 12.3/18.2 | 53.0/51.0 | 6.3/8.3 | - | 22.2/27.3 | biolimus 11.6/18.6 |
| everolimus 79.2/67.1 | |||||||
| zotarlolimus 7.9/11.2 | |||||||
| others 1.4/2.5 | |||||||
| 3.0/4.5 | 10.8/10.8 | 23.9/18.4 | - | - | 2.2/2.5 | - | sirolimus and paclitaxel 100/100 |
| 11.4/10.8 | - | 38.5/34.7 | - | - | 25.6/18.9 | - | - |
| - | 40/39 | 17/22 | 37/24 | - | - | - | sirolimus and paclitaxel 100/100 |
| - | 10.0/11.1 | 26.0/26.3 | - | - | - | 6.0/5.2 | - |
| - | 37/28 | 14/9 | - | - | - | 14/4 | xience 80/90 |
| vascular concepts 16/9 | |||||||
| 4.5/4.3 | 6.6/8.9 | 28.0/24.0 | 17.5/21.5 | 8.0/7.5 | 2.5/3.6 | - | 1st generation 22.5/27.8 |
| 2nd generation 72.5/72.2 | |||||||
| 5.6/3.6 | 5.1/5.1 | 25.2/21.3 | 16.7/17.8 | - | - | 62.6/68.0 | everolimus 53.8/51.8 |
| zotarolimus 24.0/27.3 | |||||||
| biolimus 19.4/15.8 | |||||||
| mixed or other 2.8/5.1 | |||||||
| - | 26.0/23.6 | 11.7/12.3 | 32.5/28.5 | - | - | - | sirolimus 15.7/23.3 |
| paclitaxel 13.2/12.3 | |||||||
| zotarolimus 28.5/26.9 | |||||||
| everolimus 38.8/33.8 | |||||||
| 4.2/4.1 | - | 34.6/26.9 | 18.8/25.3 | - | - | 54.6/62.8 | 1st generation 52.3/74.4 |
| 2nd generation 47.7/25.6 | |||||||
| - | 19.2/20.8 | 64.8/64.1 | 20.1/22.8 | 4.7/8.1 | - | - | everolimus 100/100 |
| 15.8/13.1 | - | 31.6/24.2 | - | 26.9/22.0 | - | - | 2nd generation 100/100 |
| - | 17.7/15.0 | 30.6/29.9 | 34.0/29.2 | 6.9/7.7 | - | 15.1/20.4 | sirolimus or paclitaxel 100/100 |
| - | - | 19.4/30.6 | 11.9/18.4 | - | - | 89.6/87.8 | - |
| - | 22/23 | - | - | - | - | 64/82 | xience 100/100 |
| - | - | 30/21 | 35/21 | - | - | - | - |
| - | - | 11/23.3 | - | - | - | 11.0/23.3 | - |
| 15.0/27.6 | 25.4/35.7 | 36.4/39.7 | - | - | 6.4/16.5 | 52/28.4 | everolimus 83.2/88.5 |
| zotarolimus 25.4/26.3 | |||||||
| sirolimus 10.4/5.7 | |||||||
| biolimus 3.5/4.3 | |||||||
| others 1.3/1.0 |
| SYNTAX score, % | Medina classification, % | Double stenting type, % | Duration of dual antiplatelet therapy |
| - | - | DK-Crush 100 | 100 mg/day aspirin and clopi-dogrel, 75 mg/day for at least 12 months. |
| 0–22 30/26 | 1,1,1 90/89 | culotte 53 | Aspirin 75 mg daily was continued long term. Clopidogrel 75 mg daily was given for a minimum of 6 months. |
| 22–32 56/57 | 0,1,1 10/11 | DK-Crush 5 | |
| missing 15/17 | T or TAP 32 | ||
| unstated 4 | |||
| missing data 3 | |||
| - | - | crush 69.1 | 300 mg daily for 3 months and followed by 100 mg daily in definitely. |
| T 14.0 | |||
| V or SKS 12.1 | |||
| culotte 4.8 | |||
| low score 26.8/23.5 | 0,1,1 10.6/14.9 | crush 7.5 | - |
| intermediate score 35.4/37.3 | 1,0,1 15.7/12.4 | colotte 32.9 | |
| high score 37.9/39.2 | 1,1,1 73.6/72.7 | mini-crush 39.8 | |
| T 14.3 | |||
| V 5.6 | |||
| mean score 23.5/27.0 | - | crush 45.6 | After the procedure, aspirin was continued indefinitely and clopidogrel was continued for at least 6 months. |
| kissing 34.8 | |||
| T 15.8 | |||
| V 2.5 | |||
| culotte 1.3 | |||
| - | - | T 40.7 | - |
| V 19.1 | |||
| culotte 1.6 | |||
| crush 38.6 | |||
| - | - | - | all patients were maintain aspirin lifelong, clopidogrel was prescribed for 6 months in both groups. |
| - | 1,1,1 4/55.3 | mini-crush 50.0 | all patients received 300 mg/day aspirin for one month. Thereafter, they received 100 mg/day indefinitely for life. Clopidogrel (75 mg/d) was continued for at least 12 months. |
| 1,0,1 2/2.6 | culotte 36.8 | ||
| 0,1,1 2/18.4 | T 7.9 | ||
| V 5.3 | |||
| - | 1,1,1 33/54 | T 18 | - |
| 1,1,0 35/9 | TAP 9 | ||
| 1,0,1 0/9 | DK-Crush 54 | ||
| 0,1,1 1/9 | culotte 18 | ||
| 0,0,1 0/0 | crush/mini crush 0 | ||
| 0,1,0 28/18 | |||
| 1,0,0 0/0 | |||
| - | 1,1,1 93.6/93.4 | - | After the procedure, aspirin was continued indefinitely and P2Y12 inhibitors were prescribed for at least 12 months. |
| 0,1,1 6.4/6.6 | |||
| - | 1,1,1 13.6/50.6 | crush 56.1 | 100 mg of aspirin was continued indefinitely, and the maintenance duration of clopidogrel (75 mg/day), prasugrel (10 mg/day), or ticagrelor (90 mg twice daily) were also at the operators’ discretion. |
| 1,0,1 2.8/7.5 | T or TAP 23.7 | ||
| 0,1,1 4.3/17.4 | culotte 6.3 | ||
| 1,0,0 11.3/2.8 | kissing or V 10.3 | ||
| 1,1,0 24.0/5.9 | others 3.6 | ||
| 0,1,0 40.3/3.6 | |||
| 0,0,1 3.7/12.3 | |||
| - | 1,1,1 30.4/60.3 | culotte 10.8 | Post-PCI, we recommended lifelong aspirin ( |
| 1,1,0 33.8/7.9 | TAP 88.2 | ||
| 1,0,1 9.9/12.8 | |||
| 1,0,0 14.3/2.8 | |||
| 0,1,1 2.1/10.3 | |||
| 0,1,0 8.2/2.3 | |||
| 0,0,1 1.5/3.6 | |||
| - | 1,1,1 21.6/51.9 | T 34.9 | Aspirin was continued indefinitely, and clopidogrel duration was left to the operator’s discretion. |
| 1,0,1 5.1/7.8 | Crush 42.4 | ||
| 0,1,1 2.3/13.4 | kissing or V 3.4 | ||
| 1,0,0 13.5/2.1 | culotte 7.1 | ||
| 1,1,0 31.2/9.8 | others 2.3 | ||
| 0,1,0 24.1/6.5 | |||
| 0,0,1 2.3/8.5 | |||
| 0–22 29.1/17.3 | 1,0,0 31.0/7.6 | T, modified T or TAP 50.8 | - |
| 23–32 42.9/44.1 | 0,1,0 4.3/25 | culotte 23.2 | |
| 1,1,0 30.0/11.0 | crush or mini-crush 14.4 | ||
| 0,0,1 0/1.7 | V 6.1 | ||
| 1,0,1 12.4/18.0 | kissing 2.8 | ||
| 0,1,1 0.5/4.2 | others 2.8 | ||
| 1,1,1 21.4/54.2 | |||
| - | 1,1,1 43.3/34.8 | - | Twelve-month Ticagrelor or Prasugrel treatment in case of ACS patients or 12-month Clopidogrel 75 mg in the other cases and life-long aspirin were recommended to all patients according to our regional guidelines. |
| 0,1,1 29.8/24.5 | |||
| mean score 39.2/34.5 | 0,1,1 24.7/27.4 | DK-Crush 38.9 | 300 mg daily for 3 months and followed by 100 mg daily in definitely. |
| 1,1,1 56.5/63.6 | others 61.3 | ||
| 1,0,1 4.7/4.8 | |||
| - | - | - | All patients received aspirin (200 mg/day) indefinitely and a loading dose of 300 mg of clopidogrel followed by a single 75 mg/day dose for 6 months. In addition, 200 mg of cilostazol was administered as a loading dose, followed by 100 mg 2 times daily for 1 month. |
| 1,1,1 4/100 | - | Chronic antithrombotic treatment included aspirin (300 mg/day indefinitely) and clopidogrel 75 mg daily or prasugrel 10 mg daily for at least 1 year. | |
| 1,0,0 4/0 | |||
| 1,1,0 69/0 | |||
| 1,0,1 23/0 | |||
| median values:22 |
- | - | All patients were prescribed lifelong aspirin 75 mg once daily for life and clopidogrel 75 mg for 6–12 months or longer. |
| first tertile 54/43 | |||
| second tertile 34/34 | |||
| third tertile 12/27 | |||
| 1,1,1 45.2/100 | DK-Crush 0 | Post-PCI, 300 mg/day of aspirin was prescribed to all patients for one month, which was reduced to 75 mg/day to be continued indefinitely thereafter. In addition, they received clopidogrel 300 mg in divided doses for the first month, later reduced to 75 mg/day for at least one year after the PCI. | |
| 22–33 76.7/70.0 | 1,1,0 47.9/0 | Mini crush 53.3 | |
| 0,1,1 0/0 | SKS 13.3 | ||
| 1,0,1 6.8/0 | Culotte 0 | ||
| T stenting 16.7 | |||
| Other two-stent 3.3 | |||
| modified techniques 13.3 | |||
| low ( |
1,1,1 13/16.9 | Double kissing crush/standard crush 76.0 | - |
| intermediate (23–32) 42.2/58.0 | 1,1,0 39.13/16.74 | Mini-crush 1.4 | |
| high ( |
1,0,1 6.1/4.6 | Culotte 14.0 | |
| mean score:7.70/7.76 | 0,1,1 23.5/23.4 | T-stenting 1.1 | |
| 1,0,0 4.3/1.3 | V-stenting 1.1 | ||
| 0,1,0 13/4.1 | T and small protrusion 6.3 | ||
| 0,0,1 0.9/1.12 |
The quality of the RCTs was evaluated using the Cochrane Collaboration tool. The seven domains of the two RCTs are all displayed in Fig. 2. The quality of observational studies was assessed using NOS. All 19 studies were considered to have a low risk of bias (Table 3, Ref. [9, 10, 11, 12, 13, 14, 15, 16, 17, 18, 19, 20, 21, 22, 23, 24, 25, 26, 27]).
Fig. 2.Quality assessment of the RCTs with Cochrane Collaboration’s tool. RCTs, randomized controlled trails.
| Study | Selection | Comparability | Outcome | Total score |
| Gao, 2015 [11] | ☆☆☆☆ | ☆☆ | ☆☆ | 8 |
| Kawamoto, 2018 [25] | ☆☆☆ | ☆☆ | ☆☆ | 7 |
| Kim, 2010 [14] | ☆☆☆ | ☆☆ | ☆☆ | 7 |
| Palmerini, 2008 [17] | ☆☆☆ | ☆☆ | ☆☆ | 7 |
| Valgimigli, 2006 [27] | ☆☆☆ | ☆☆ | ☆☆ | 7 |
| Zhang, 2015 [21] | ☆☆☆ | ☆☆ | ☆☆☆ | 8 |
| Sarma, 2021 [9] | ☆☆☆ | ☆☆ | ☆☆ | 7 |
| Lee, 2020 [13] | ☆☆☆ | ☆☆ | ☆☆ | 7 |
| Choi, 2020 [24] | ☆☆☆ | ☆☆ | ☆☆ | 7 |
| Ferenc, 2018 [19] | ☆☆☆ | ☆☆ | ☆☆ | 7 |
| Cho, 2018 [18] | ☆☆☆ | ☆☆ | ☆☆ | 7 |
| Kandzari, 2018 [22] | ☆☆☆ | ☆☆ | ☆☆ | 7 |
| Rigatelli, 2022 [16] | ☆☆☆ | ☆☆ | ☆☆ | 7 |
| Chen, 2012 [15] | ☆☆☆☆ | ☆☆ | ☆☆ | 7 |
| Kim, 2006 [12] | ☆☆☆ | ☆☆ | ☆☆ | 7 |
| Alasmari, 2022 [20] | ☆☆☆ | ☆☆ | ☆☆ | 7 |
| D’Ascenzo, 2016 [26] | ☆☆☆ | ☆☆ | ☆☆ | 7 |
| Nasir, 2020 [23] | ☆☆☆ | ☆☆ | ☆☆ | 7 |
| Migliorini, 2017 [10] | ☆☆☆☆ | ☆☆ | ☆☆ | 7 |
NOS, Newcastle-Ottawa Quality Assessment Scale.
Testing for the overall effect of the two RCTs and 17 observational studies [5, 6, 9, 10, 11, 13, 14, 15, 16, 17, 18, 19, 20, 21, 23, 24, 25, 26, 27],
including 10,805 patients, revealed that the provisional stenting strategy was
significantly superior to double stenting. The heterogeneity was relatively large
(I
Fig. 3.Forest plot of comparisons of major adverse cardiac events between provisional stenting and double stenting. RCT, randomized controlled trail.
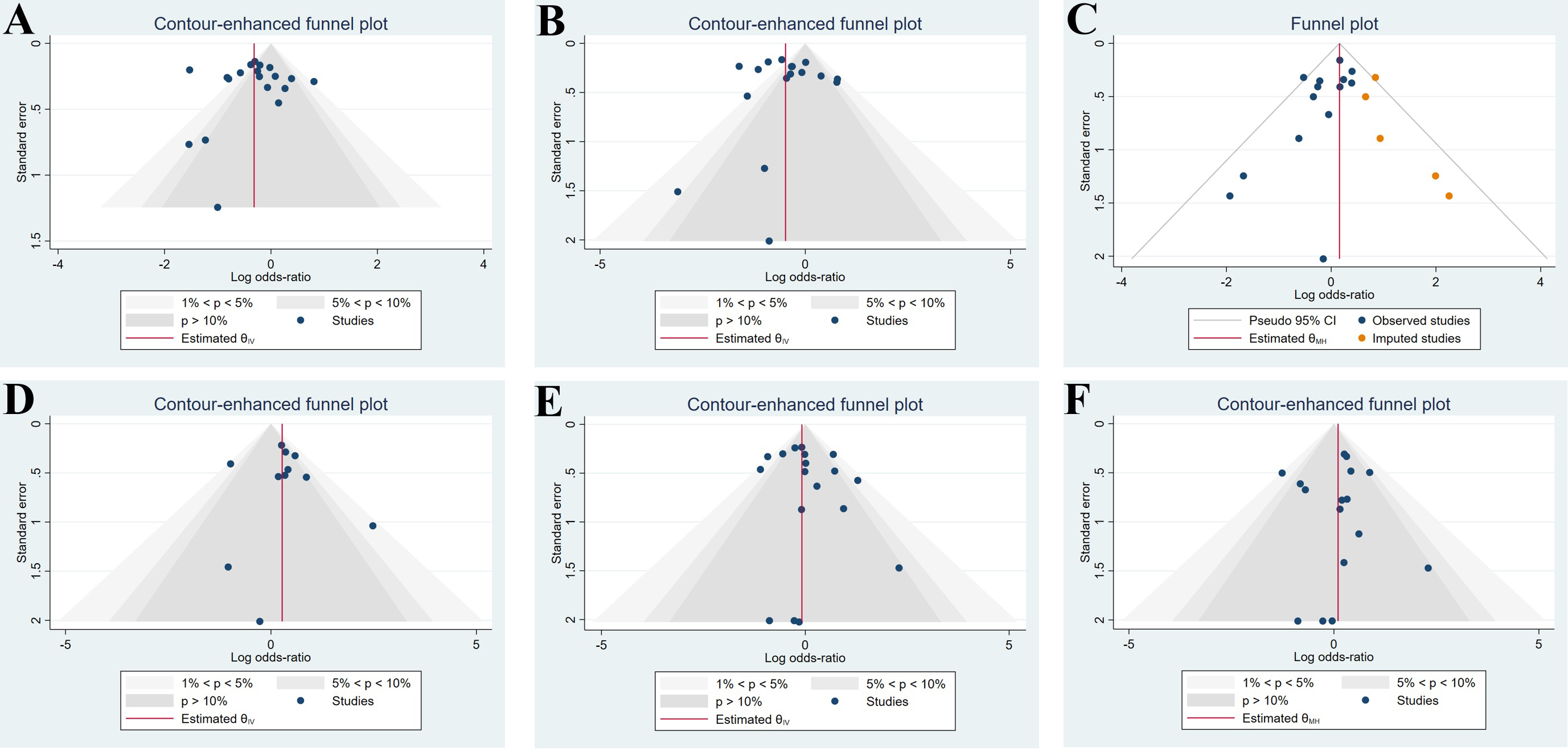
Fig. 4.Contour-enhanced funnel plot for publication bias evaluation of studies concerning major adverse cardiac events (A), target lesion revascularization (B), all-cause death (C), cardiac death (D), myocardial infarction (E), stent thrombosis (F).
Fig. 5.Galbraith plot for Heterogeneity test of studies concerning major adverse cardiac events.
Fig. 6.Sensitivity analysis of the heterogeneity of studies concerning major adverse cardiac events (A) and target lesion revascularization (B).
The results of TLR were similar to those of MACE. A total of two RCTs and 15
observational studies involving 10,556 patients were analysed [5, 6, 9, 11, 12, 13, 14, 15, 16, 17, 18, 19, 20, 23, 24, 25, 26]. The overall effect
favoured provisional stenting for significantly lower TLR. The
heterogeneity was relatively large (I
Fig. 7.Forest plot of comparisons of target lesion revascularization between provisional stenting and double stenting. RCT, randomized controlled trail.
Six observational studies involving 3255 enrolled patients were analysed for
occurrence of TVR [10, 11, 13, 15, 21, 27]. The heterogeneity was pretty small (I
Fig. 8.Forest plot of comparisons of target vessel revascularization between provisional stenting and double stenting.
One RCT and 13 observational studies involving 7532 patients were included to
evaluate the occurrence of all-cause death [6, 9, 10, 11, 12, 13, 14, 19, 20, 22, 23, 24, 25, 27]. Analysis was favourable for double
stenting for lower all-cause death incidence, but the difference wasn’t
significant. The heterogeneity was reasonably small, so a fixed-effects model was
used (I
Fig. 9.Forest plot of comparisons of all-cause death between provisional stenting and double stenting. RCT, randomized controlled trail.
One RCT and 10 observational studies involving 6878 patients were included to
evaluate the occurrence of cardiac death [5, 13, 15, 16, 17, 19, 20, 21, 22, 24, 25]. The analysis was favourable for double
stenting for significantly lower cardiac death. The heterogeneity was acceptable,
so a fixed-effects model was used (I
Fig. 10.Forest plot of comparisons of cardiac death between provisional stenting and double stenting. RCT, randomized controlled trail.
Two RCTs and 16 observational studies involving 9406 patients were included to
evaluate the occurrence of MI [5, 6, 10, 11, 12, 13, 14, 15, 16, 17, 20, 21, 22, 23, 24, 25, 26, 27]. The overall effect showed there was no significant
difference between provisional stenting and double stenting. The heterogeneity
mainly came from subgroups of RCTs. The overall heterogeneity was acceptable, so
a fixed-effect model was used (I
Fig. 11.Forest plot of comparisons of myocardial infarction between provisional stenting and double stenting. RCT, randomized controlled trail.
Two RCTs and 14 observational studies involving 9466 patients were included to
evaluate the occurrence of ST [5, 6, 10, 11, 13, 15, 16, 18, 19, 20, 21, 22, 23, 25, 26, 27]. The overall effect showed there was no significant
difference between provisional stenting and double stenting. The heterogeneity
was relatively small, so a fixed-effect model was used (I
Fig. 12.Forest plot of comparisons of stent thrombosis between provisional stenting and double stenting. RCT, randomized controlled trail.
A total of two RCTs and 19 observational studies were included in this study [5, 6, 9, 10, 11, 12, 13, 14, 15, 16, 17, 18, 19, 20, 21, 22, 23, 24, 25, 26, 27]. For the endpoints of MACE and TLR, the heterogeneity was relatively large, and it mainly came from the RCT subgroup. We only identified two RCTs, but they drew conflicting conclusions concerning MACE, TLR and MI, although the difference did not reach statistical significance. We believe that the heterogeneity of the two RCTs may be due to the different techniques of double stenting. In the study from Chen [5], only DK-Crush was performed for double stenting, while in the study from Hildick-Smith [6], a composition of Culotte, DK-minicrush, T or T stenting and small protrusion technique (TAP) was performed. This reminded us that DK-Crush was likely better than provisional stenting, while provisional stenting was better than other double stenting.
Subgroup analysis of RCT and non-RCT revealed that the two aggregated OR were opposing in MACE, TLR, all-cause death and MI occurrences, and consistent in cardiac death and ST occurrences. Though RCTs have a higher level of evidence than in observational studies, their small size became the greatest limitation for this review.
We identified publication bias only when analysing all-cause death occurrence. We performed a non-parametric trim-and-fill analysis for the publication bias. After virtually imputing five studies, the funnel plot became symmetric, and the bias was reduced. The adjusted OR value was enlarged from 1.052 [0.872, 1.270] to 1.173 [0.984, 1.398]. However, the results still favoured the double stenting strategy.
The aggregated OR values of all endpoints are displayed in Table 4. Our analysis revealed that provisional stenting had a significantly lower incidence of MACE, mainly driven by TLR and TVR and double stenting had a significantly lower incidence of cardiac death. Additionally, provisional stenting tended to have a lower occurrence of MI, while double stenting tended to have a lower occurrence of all-cause death and ST. From these results, it was hard for us to conclude which performed better. Considering the importance of survival, double stenting might be more recommended.
| Aggregated OR (RCT) | Aggregated OR (non-RCT) | Aggregated OR (Overall) | ||
| Primary endpoint | ||||
| MACE | 1.33 | 0.69* | 0.74* | |
| Secondary endpoints | ||||
| TLR | 1.17 | 0.60* | 0.65* | |
| TVR | - | 0.76* | 0.76* | |
| All-cause death | 0.71 | 1.06 | 1.04 | |
| Cardiac death | 1.51 | 1.36* | 1.37* | |
| MI | 1.38 | 0.88 | 0.94 | |
| ST | 2.05 | 1.05 | 1.15 | |
*, p
The latest systematic review and meta-analysis comparing the two strategies for LM was published by Abdelfattah et al. [28], in which 12 studies of 7105 patients were included. In that review, only the 2nd generation of DES was considered. However, in our pre-analysis we found that DES type didn’t affect the OR value. So as to enlarge the sample size, we enrolled both the 1st and 2nd DES, and the sample size was nearly doubled. A recent large sample-sized study conducted by Alasmari in 2022 [20] was added in our review. The differences in outcomes between the two meta-analyses mainly lie in the occurrences of cardiac death and MI.
Vescovo et al. [29] published a network meta-analysis comparing different double stenting techniques and provisional stenting. Network meta-analysis was recommended to select a specific technique. However, detailed subdivisions reduced the sample size. As provisional stenting and double stenting were considered as two different strategies, rather than two different techniques, there was still a necessity to conduct this systematic review and meta-analysis to clarify which performed better. It could help operators make the optimal strategy when dealing with LM bifurcation lesions.
The limitations of this study mainly lie in the definitions of endpoints that varied across studies, the double stenting techniques that varied across studies, the performance of IVUS, POT, and double balloon kissing (DBK) that varied across studies, and the long span of 2002 to 2019. At last, this review was not registered and a protocol was not prepared.
The provisional stenting strategy was associated with a significantly lower occurrence of MACE, mainly driven by TLR and TVR, but a higher occurrence of cardiac death. Further investigations are needed, especially those involving RCTs, to confirm which strategy performs better.
UPLMB, Unprotected left main distal bifurcation; LM, left main; RCTs, randomized controlled trials; TLF, target lesion revascularization failure ; ST, stent thrombosis ; MACE, major adverse cardiac events; DES, drug-eluting stent; MI, myocardial infarction; TVR, target vessel revascularization; TLR, target lesion revascularization; IVUS, intravascular ultrasound; POT, proximal optimal technique; PTCA, percutaneous transluminal coronary angioplasty; CABG, coronary artery bypass surgery ; ARC, Academic Research Consortium; NOS, Newcastle-Ottawa Quality Assessment Scale; OR, Odds ratio; CI, confidence interval.
WGG, QSZ, and JD concepted this study. ZHL and MMZ designed the study. DDL, HL and CCG performed literature searching, data collection and quality assessment. DDL, JL, MMC and PYL performed data analysis. All authors participated in writing or revising the manuscript. WGG is the first corresponding author. All authors contributed to the manuscript and approved the final manuscript.
Not applicable.
Not applicable.
This work was supported by Tangdu Innovative Development Project (2021LCYJ044). The funder played no role in study design, data analysis, or manuscript drafting. There was no competing interests of review authors. Template data collection forms, data extracted from included studies, data used for all analyses, and analytic code in the review are publicly available.
The authors declare no conflict of interest.
Supplementary material associated with this article can be found, in the online version, at https://doi.org/10.31083/j.rcm2408216.
References
Publisher’s Note: IMR Press stays neutral with regard to jurisdictional claims in published maps and institutional affiliations.












