Academic Editor

  • Samuela Cataldi

Article Metrics

  • Fig. 1.

    View in Article
    Full Image
  • Fig. 2.

    View in Article
    Full Image
  • Fig. 3.

    View in Article
    Full Image
  • Fig. 4.

    View in Article
    Full Image
  • Fig. 5.

    View in Article
    Full Image
  • Information

  • Download

  • Contents

Abstract

Background: Vitamin D is a dietary micronutrient responsible for calcium and phosphorus metabolism and multiple extraskeletal actions. The assessment of vitamin D status is commonly based on measurement of 25(OH)D total concentration in serum. However, the usage of liquid chromatography with tandem mass spectrometry (LC-MS/MS) technique allows to reliably assess a panel of vitamin D metabolites in serum or plasma, which may help to investigate the metabolic paths of vitamin D, especially in populations at risk of deficiency. Methods: A randomized, two-arms, open study was conducted on 58 patients (28 female and 30 male; aged from 61 to 96 years old). The primary aim was to assess the effects of a single, high, oral dose of vitamin D3 (120,000 IU) on serum 25(OH)D3, 25(OH)D2, 24,25(OH)2D3, 3-epi-25(OH)D3, 1,25(OH)2D3, 24,25(OH)2D3/25(OH)D3 ratio, and 25(OH)D3/3-epi-25(OH)D3 ratio concentration (measured by LC-MS/MS) at baseline, 3 days and 7 days after administration, compared to control group. The secondary aim was assessment of influence of percentage of fat tissue on serum metabolites of vitamin D and their changes after bolus dose. Results: 56.6% study group attained a serum 25(OH)D3 concentration >30 ng/mL. All subjects, except for one patient achieved a serum 25(OH)D3 concentration >20 ng/mL after administration. No one exceed reference value of vitamin D (30–50 ng/mL). Among participants who received vitamin D3 there were significant increase in 25(OH)D3, 3-epi-25(OH)D3, 1,25(OH)2D3, 24,25(OH)2D3 on 3rd day after administration. 24,25(OH)2D3 concentration gradually grew, achieving the highest concentration on 7th day. The percentage increase of 25(OH)D3 was negatively correlated with baseline 25(OH)D3 (r = –0.688, p = 0.001). Positive correlation between percentage increase in 25(OH)D3 and a percentage increase serum concentration of 24,25(OH)2D3 (r = 0.954, p < 0.001), 3-epi-25(OH)D3 (r = 8.03, p < 0.001) and 1,25(OH)2D3 (r = 0.789, p <0.001) were found. None of the study participants developed hypercalcemia. The baseline concentration of analyzed metabolites of vitamin D in serum and their percentage increase were neither dependent on BMI nor percentage of fat tissue. Conclusions: High dose of vitamin D rapidly increases 25(OH)D3 concentration in the elderly patients. The response to the bolus of vitamin D includes activation of 3-epimerase, followed by production of 24,25(OH)2D3, which protects from excessive increase of active form of vitamin D.

1. Introduction

Vitamin D belongs to dietary micronutrients and it is known for pleiotropic actions, going far beyond its classical function of maintenance of calcium and phosphorous homeostasis [1]. Main source of vitamin D in humans is skin synthesis in two stage process in which the B ring of 7-dehydrocholesterol is broken by ultraviolet (UV) radiation from the sun and it further isomerizes to vitamin D3 [2]. Vitamin D can be also obtained from the diet—vitamin D3 (cholecalciferol) can be found inter alia (i.a.) in fish, while vitamin D2 (ergocalciferol) is produced in variety of plants and yeast [3].

Vitamin D ingested form the diet is incorporated into chylomicrons and from lymphatic system it enters the circulation [4]. In the bloodstream, vitamin D is bound to vitamin D binding protein (DBP) and lipoproteins, from DBP it is released to the liver, which is main but not the sole source of 25(OH)D, after 25-hydroxylation of vitamin D on C-25 [4]. Further metabolism of 25(OH)D occurs in kidneys where 1-alpha-hydroxylase (CYP27B1), one of cytochrome P450 mixed-function oxidase (CYP), can be found [3]. The mutations in CYP27B1 gene underlies pseudovitamin D deficiency caused by inadequate 1,25(OH)2D3 production [5]. Apart from the kidneys, CYP27B1 is also expressed in several external sites [6].

1,25(OH)2D3 binds to vitamin D receptor (VDR) in nearly all cells and activates the expression of 24-hydroxylase (CYP24A1)—The main enzyme of vitamin D catabolism. The direct products of CYP24A1 reaction are 24,25(OH)2D3 and 1,24,25(OH)3D3. Thus, the determination of 24,25(OH)2D3 in serum may be useful in diagnostics of patients with partial or complete loss of CYP24A1 function. In those patients, the administration of vitamin D may result in symptomatic hypercalcemia [7]. Despite being known as “inactive” metabolite, it was proven 24,25(OH)2D3 exhibits biological activity—It suppresses parathyroid hormone (PTH) secretion, regulates embryogenesis, stimulates bone remodelling and cartilage growth/maturation [8, 9, 10, 11].

Recently it was proven that 25(OH)D3 is present in two stereoisomeric forms that differ in the arrangement of groups on a single asymmetric carbon atom—C-3, as a result of 3-epimerase reaction, while epi-25(OH)D3 has fewer calcemic effects than non-epimeric 25(OH)D3 [12]. This alternative path was discovered once liquid chromatography with tandem mass spectrometry (LC-MS/MS) measurement was introduced: when the other diagnostic methods are used (immunoassays: chemiluminescence immunoassay (CLIA), electrochemiluminescence immunoassay (ECLIA), DBP-based assays, in-house high-performance liquid chromatography (HPLC)), epimer may remain undetected, which may lead to overestimation of vitamin D status [13]. The results of in vitro and in vivo studies indicate that all main metabolites of vitamin D constitute substrates for epimerase. Moreover, they can be further metabolised by 1-alpha-hydroxylase and 24-hydroxylase—Following the classic pathway [13]. 3-epi-25(OH)D3 is detectable in low concentrations in serum, reaching the highest concentration in infancy [14]. The exact function of vitamin D epimers has not been fully understood. 3-epi-1,25-(OH)2D3 has lower affinity to VDR as compared to nonepimeric form, nevertheless it induces osteocalcin expression, CYP24, suppresses the secretion of PTH and stimulates the production of surfactant in type II pneumocytes [15, 16, 17].

Apart from essential role in blood calcium and phosphorus homeostasis, vitamin D causes also the extra-skeletal effects: in cellular proliferation, differentiation, and immune modulation [1]. Therefore, vitamin D has become the subject of numerous studies in relation to its potential protective effect in pathophysiology of diabetes, cardiovascular diseases, autoimmune diseases, infections and cancer [1]. Thus, it is important to maintain the adequate vitamin D level. Given the fact that skin production and regular diet is frequently insufficient to ensure proper vitamin D level, it needs to be supplemented. Due to limited solar exposure and outdoor activity, monotonous diet, atrophic skin changes leading to decreased dermal production and reduced renal production, the elderly are more prone to develop vitamin D insufficiency [18]. However, adequate supplementation of vitamin D in elderly is a challenge. To improve patient compliance, an attractive option is to administer higher doses of vitamin D taken less frequently. However, questions about the effectiveness and safety of such interventions arose. There are also significant individual differences in the response to the same supplementation dose, which may origin from differences in body weight, initial vitamin D concentration, polymorphism of genes involved in vitamin D metabolism [18, 19].

Here, we performed randomised controlled trial to assess the concentrations of vitamin D metabolites in serum after oral administration of 120,000 international units (IU) of vitamin D3 in the elderly patients admitted to the hospital—population especially prone to develop vitamin D deficiency. In addition, we assessed the percentage of adipose tissue in all patients using the dual-energy X-ray absorptiometry method, assuming this parameter may affect the increase in 25(OH)D3 concentration and the pharmacokinetics of metabolites. To our knowledge, this is the first study with early metabolite assessment after high–dose vitamin D administration in the elderly population, which may provide a better understanding of the vitamin D metabolism pathway in this group of patients.

2. Materials and Methods
2.1 Study Design

The randomized, two-arms, open study which was conducted in the Department of Internal Medicine Department of Bielański Hospital in Warsaw (Poland) between April 2021 and August 2021. All participants were admitted to the hospital due to emergency reasons. The exclusion criteria were hypercalcemia, nephrolithiasis, kidney insufficiency, documented vitamin D3 metabolism disorders such as sarcoidosis, parathyroid disease or genetic defects, vitamin D3supplementation within 6 months prior to the hospitalisation. The study was approved by Bioethics Committee of Centre of Postgraduate Medical Education (Warsaw, Poland) on 14.04.2021 (number 19/2021).

Patients were randomized in two groups: study group receiving 120,000 IU of vitamin D3 (four tablets containing 30,000 IU of vitamin D3 each, Solderol, series number 2011020F, Pharma Patent Kft, Budapest, Hungary) and control group. The randomization list was created using a computer-generated code (https://www.randomizer.org). All participants provided written informed consent before participation.

The primary aim of the trial was to assess the effects of a single high dose of vitamin D3 (120,000 IU) on serum 25(OH)D3, 25(OH)D2, 24,25(OH)2D3, 3-epi-25(OH)D3, 1,25(OH)2D3, 24,25(OH)2D3/25(OH)D3 ratio, and 25(OH)D3/3-epi-25(OH)D3 ratio concentration at baseline, 3 days and 7 days after administration, compared to control group. The secondary aim was assessment of the influence of percentage of fat tissue on serum concentration of metabolites and their changes after bolus dose.

2.2 Sample Collection and Measurements of Vitamin D Metabolite Levels

Patients’ specimens were collected at three time points: at baseline, 3 days and 7 days after oral administration of 120,000 IU vitamin D. Blood samples were collected from antecubital vein into Vacuette® blood collection tubes (6 mL) with serum cloth activator. Some samples were missing, mainly due to transfer of some patients to other centres and pre-analytical errors. Blood was centrifuged using standard laboratory procedures (3500 revolutions per minute (rpm), 10 minutes) and the serum was aliquoted and frozen at –86 °C until further analysis. In each patient’s serum sample the levels of creatinine (CREA), PTH, albumin and calcium were determined. CREA and calcium were measured using the spectrophotometric method on Cobas 6000 e501 (Roche Diagnostics, Risch-Rotkreuz, Switzerland). Albumin was measured using the spectrophotometric method on Cobas Integra 400 plus (Roche Diagnostics, Risch-Rotkreuz, Switzerland). PTH was determined using ECLIA assay on Cobas 8000 e801 (Roche Diagnostics, Risch-Rotkreuz, Switzerland).

Vitamin D metabolites analysis: 25(OH)D3, 24,25(OH)2D3, epi-25(OH)D3 and 25(OH)D2 was performed by isotope dilution mass spectrometry. Serum samples (50 μL) were subjected to protein precipitation and specific derevatization 4-(4-dimethylaminophenyl)-1,2,4-triazoline-3,5-dione (DAPTAD). The analytes were then separated using a high performance liquid chromatograph (ExionLC, Sciex, Framingham, MA, USA) and analyzed on a triple quadrupole tandem mass spectrometer (QTRAP®5500, Sciex, Framingham, MA, USA) using an ESI ion source in positive ion mode. Details of the described method are included in the publication [20].

A modified procedure [21] was used to analyze the serum calcitriol concentration. The serum sample (200 μL) was enriched with the isotope labelled internal standard and then subjected to protein precipitation with acetonitrile (500 μL). After precipitation and centrifugation supernatant was transferred to an eppendorf tube, and acetonitrile was removed by under nitrogen stream. Calcitriol was extracted using twice liquid-liquid extraction (vortex, 30 seconds) with ethyl acete (2 × 200 μL). Pulled extract was evaporated to dryines under nitrogen stream. Then samples were derivatized with DAPTAD reagent the same as described in the publication [20]. After reconstitution in 50 μL of MeOH:H2O (1:1), 20 μL of sample was injected on LC-MS/MS system. The chromatographic separation was carried out in 45 °C in a gradient of 0.1% formic acid (mobile phase A) and 0.1% formic acid in methanol (mobile phase B) on the column, Cosmocore®PBr, 100 × 2.1 mm; 2.6 μM (Nacalai Tesque, Japan). The analysis was performed using an ESI type ion source (electrospray) in positive ion mode. Detection was performed in MRM mode on a QTRAP5500 with tandem mass spectrometer (Sciex, Framingham, MA, USA).

2.3 Dual-Energy X-Ray Absorptiometry (DXA) Assessment and Anthropometric Measurements

The percentage of fat tissue was determined using DXA on Lunar Prodigy Advance (GE Healthcare, Madison, WI, USA) and analyzed using programme Encore v18 (Adobe, San Jose, CA, USA). All scans were performed and analyzed by one operator. BMI (body mass index) was calculated as weight (kg) divided by the square of height (m2).

2.4 Statistical Analysis

The data were statistically analyzed using 13.1 software (STATSOFT, Kraków, Poland).

Minimum and maximum values as well as median and interquartile range (IQR) (lower quartile–upper quartile) were estimated for numerical variables, and absolute numbers (n) and percentages (%) of the occurrence of items for categorical variables.

Mann-Whitney U test was used to compare numerical variables between the study group and the control group or Pearson’s chi-square test to compare gender between those two groups.

Wilcoxon signed ranks test was used to compare numerical variables between two time points: baseline and 3 days after vitamin D oral administration, between baseline and 7 days after vitamin D oral administration, between 3 and 7 days after vitamin D oral administration, separately in the study group and in the control group.

Pearson’s correlation coefficient was used to correlate two numerical variables between each other.

p-values < 0.05 were considered statistically significant.

3. Results

Study population included 58 patients aged from 61 to 96 years old (mean age 73.7 years old, 48.26% women and 51.72% men) randomized in two groups: study group (30 subjects) and control group (28 subjects). Baseline characteristics of study participants and metabolites of vitamin D concentrations are summarized in Table 1.

Table 1.Characteristics and metabolites of vitamin D at baseline.
Variable Study group (n = 30) Control group (n = 28) p
Age (years) 70.50 (66–77) 72 (68–82) 0.185
Gender, F/M 11 (36.67)/19 (63.33) 17 (60.71)/11 (39.29) 0.067
BMI (kg/m2) 27.79 (22.68–29.70) 27.50 (23.98–29.75) 0.876
Percentage of a fat tissue (%) 32,70 (28–41,20) 37.90 (29.80–48.10) 0.492
CREA (mg/dL) 0.82 (0.74–0.91) 0.82 (0.65–0.91) 0.575
PTH (pg/mL) 37.15 (25.80–49.90) 40.25 (30.10–56.50) 0.635
Albumin (g/dL) 3.43 (3.18–3.87) 3.25 (2.96–3.85) 0.450
Calcium (mmol/L) 2.21 (2.14–2.34) 2.16 (2.09–2.29) 0.216
Corrected calcium (mmol/L) 2.33 (2.27–2.39) 2.30 (2.26–2.33) 0.219
25(OH)D3 (ng/mL) 12 (7.58–16.77) 17.93 (9.42–25.41) 0.096
25(OH)D2 (ng/mL) 0.39 (0.29–0.52) 0.22 (0.16–0.35) 0.005
25(OH)D total (ng/mL) 12.42 (8.01–17.09) 18.45 (9.57–25.61) 0.121
3-epi-25(OH)D3 (ng/mL) 0.48 (0.26–0.69) 0.64 (0.36–1.10) 0.074
24,25(OH)2D3 (ng/mL) 0.44 (0.25–0.93) 1.03 (0.46–2.20) 0.009
1.25(OH)2D3 (pg/mL) 24.59 (13.92–37.62) 21.58 (14.92–29.77) 0.863
24,25(OH)2D3/25(OH)D3 ratio 0.04 (0.03–0.06) 0.06 (0.05–0.10) 0.016
25(OH)D3/3-epi-25(OH)D3 ratio 22.92 (18.51–31.93) 24 (18.87–29.45) 0.863
Data are given in medians and interquartile ranges and for gender in number and percentage.
p for Mann-Whitney’s U test, except from gender for which chi-square test was used.
Abbreviations: CREA, creatinine; PTH, parathyroid hormone.
Corrected calcium = Calcium [mmol/L] + (40 – Albumin [g/L]) × 0.02.

No statistically significant differences between study and control group were observed, apart from 25(OH)D2, 24,25(OH)D3 concentration and 24,25(OH)D3/25(OH) D3 ratio. At baseline vitamin D3 deficiency (25(OH)D <30 ng/mL) was found in 92.8% of study participants and among those in 30.3% was below 10 ng/mL. There was significant correlation at baseline between serum concentrations of 25(OH)D3 and PTH concentration (r = –0.277, p = 0.039) in the entire study population. In our study, 3-epi-25-(OH)D3 was detectable in all participants.

In the whole study population (n = 58), there were positive correlations at baseline between serum concentrations of 25(OH)D3 and 24,25(OH)2D3, 3-epi-25(OH)D3 (r = 0.885, and r = 0.877, respectively, p < 0.001 for all) as shown in Fig. 1. There was no significant correlation between 25(OH)D3 and 1,25(OH)2D3 at baseline (r = 0.241, p = 0.07) (Fig. 1). Serum concentrations of 24,25(OH)2D3 at baseline correlated positively with 3-epi-25(OH)D3 (r = 0.767, p < 0.001) (Fig. 1).

Fig. 1.

Correlations between baseline concentrations. (a) 25(OH)D3 and 3-epi-25(OH)D3. (b) 25(OH)D3 and 24,25(OH)2D3. (c) 25(OH)D3 and 1,25(OH)2D3. (d) 3-epi-25(OH)D3 and 24,25(OH)2D3 in all participants. r, Pearson’s correlation coefficient.

All subjects completed the study. Changes in the serum concentrations of vitamin D metabolites on 3rd day and 7th day after intervention are presented in Fig. 2. Single, oral administration of 120,000 IU of vitamin D3 showed to rapidly normalize 25(OH)D3 (>30 ng/mL) levels in most patients (56.6% study group). All subjects, except for one patient, in the intervention group achieved a serum 25(OH)D3 concentration >20 ng/mL. The highest achieved 25(OH)D3 level in the study group was 46.47 ng/mL. However, the individual changes in 25(OH)D3 and other metabolites were variable (Supplementary Fig. 1).

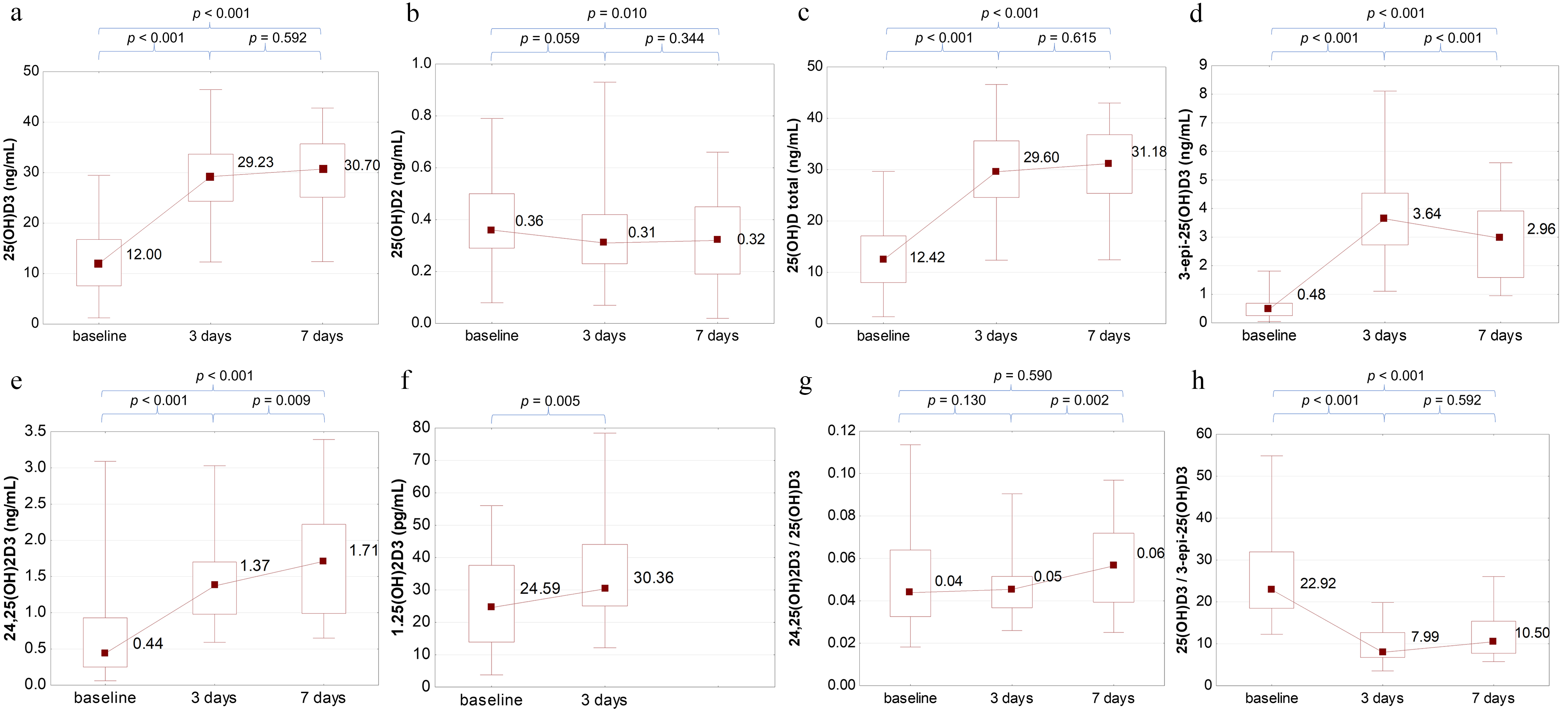
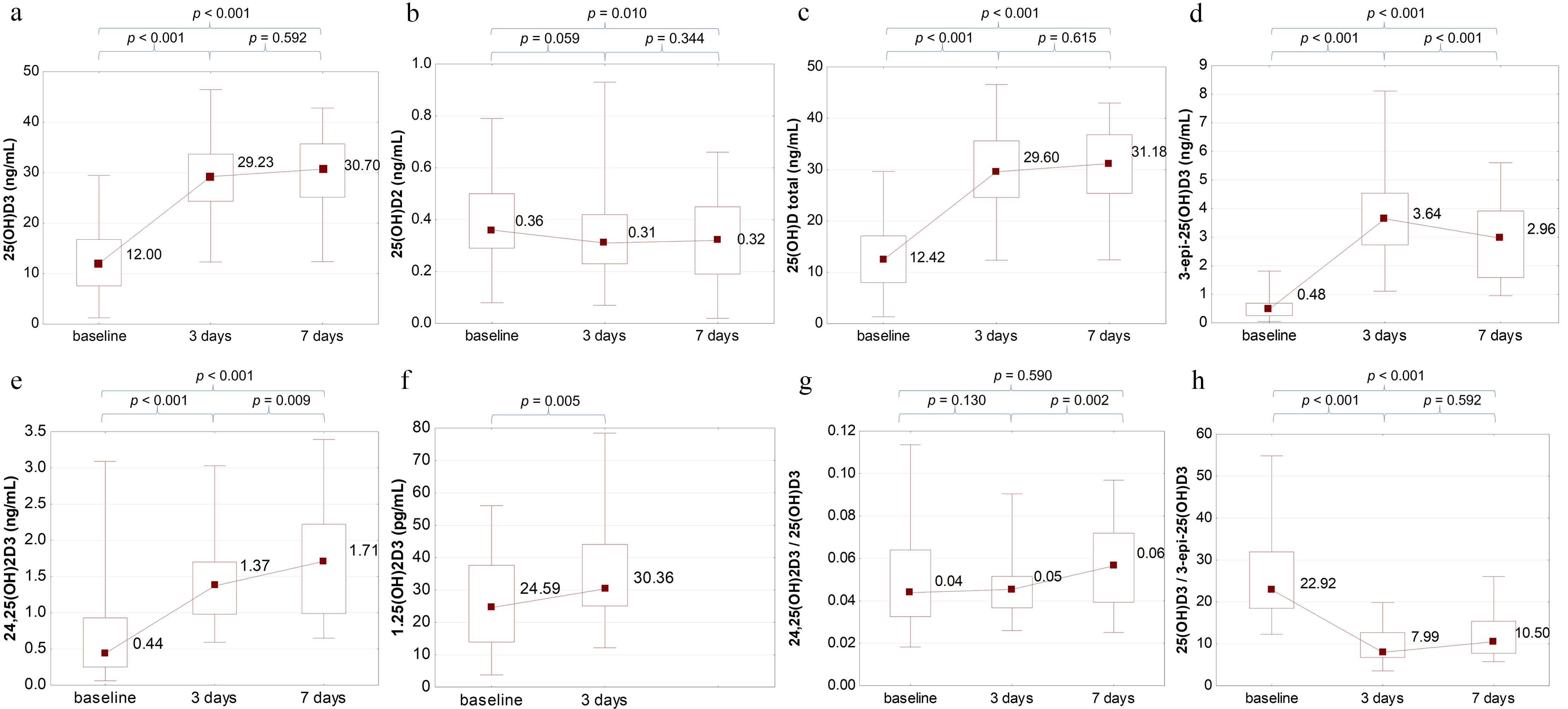
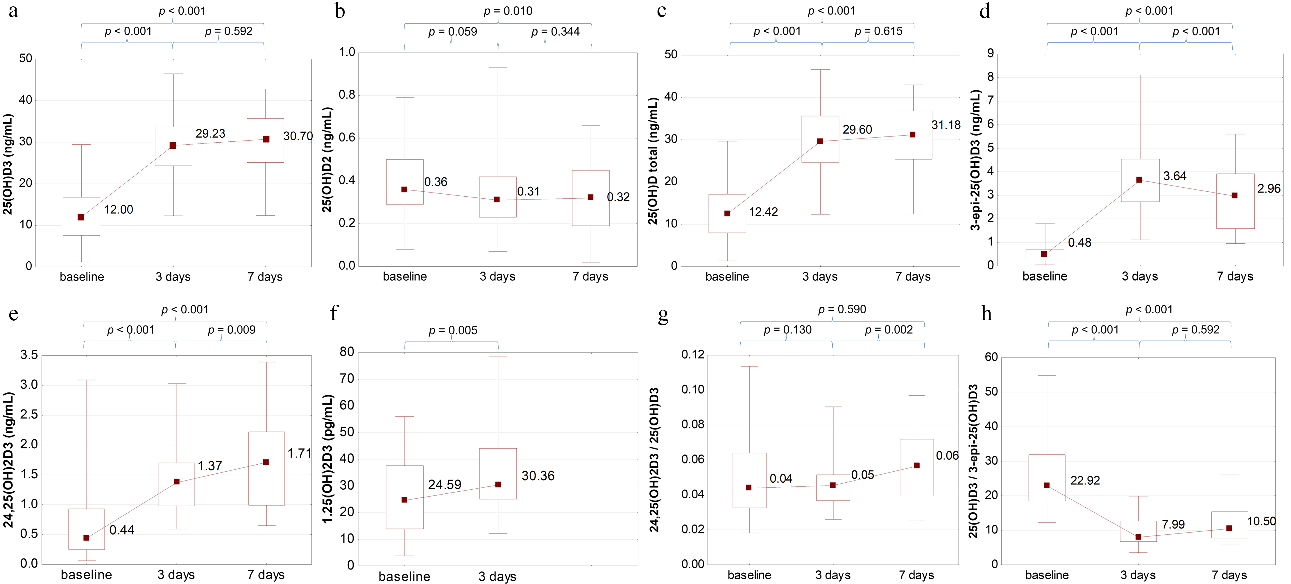
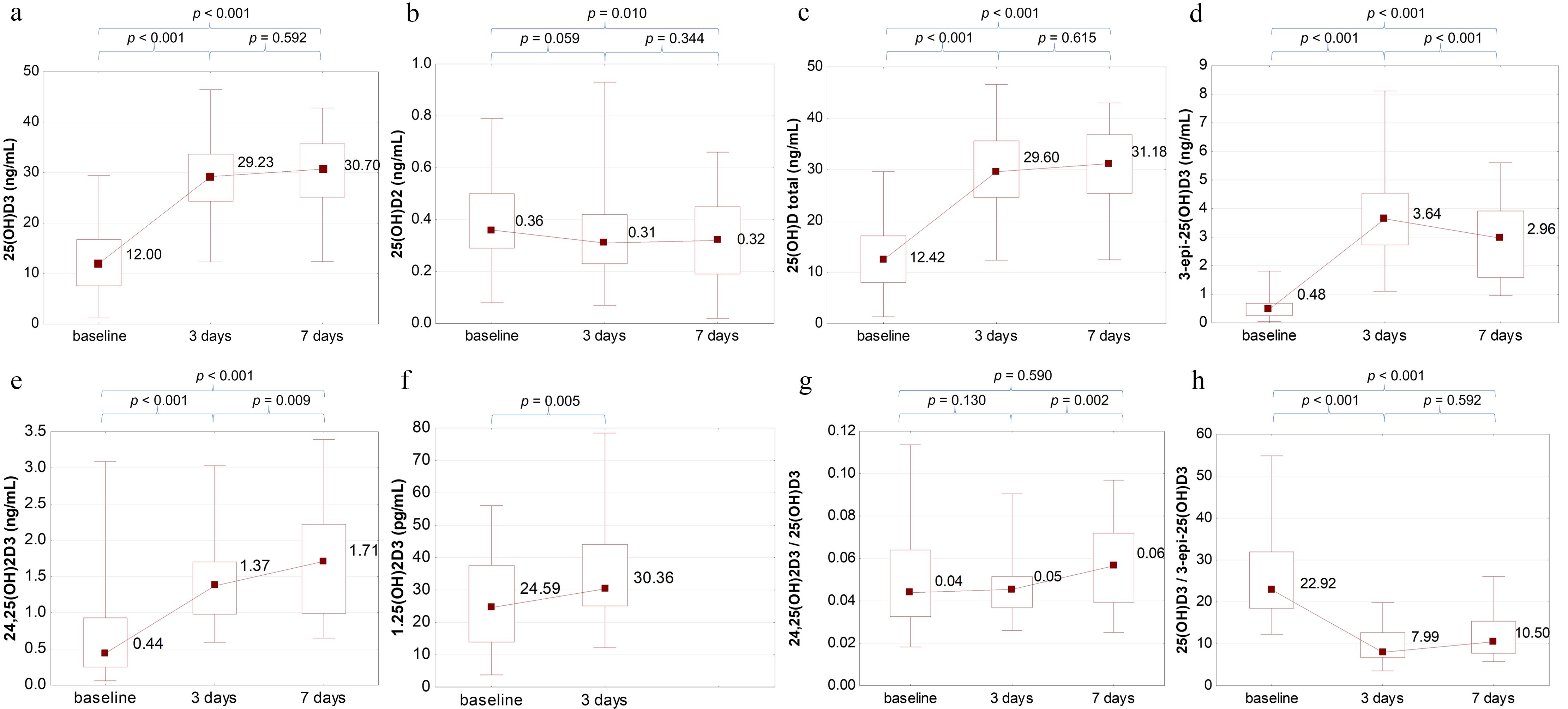
Fig. 2.

Changes between baseline, 3 days and 7 days after oral administration of 120,000 IU of vitamin D in the study group. (a) 25(OH)D3. (b) 25(OH)D2. (c) 25(OH)D total. (d) 3-epi-25(OH)D3. (e) 24,25(OH)2D3. (f) 1,25(OH)2D3. (g) 24,25(OH)2D3/25(OH)D3 ratio. (h) 25(OH)D3/3-epi-25(OH)D3 ratio. Midpoint = median, box = IQR (Lower quartile–Upper quartile), whiskers = Min–Max. p for Wilcoxon signed ranks test.

On 3rd day after administration of vitamin D, participants receiving vitamin D3 showed a significant increase in serum 25(OH)D3 and 25(OH)D total concentrations (all p < 0.001 vs. baseline), whereas no significant changes were seen between 3rd and 7th day after intervention (Fig. 2a,c). Interestingly, there was a significant decrease in the concentration of 25(OH)D2 between baseline and 7th day after intervention in the study group (p = 0.010) (Fig. 2b). Moreover, after vitamin D administration, 3-epi-25(OH)D3 rose rapidly and reached a peak on 3rd day (p <0.001) (Fig. 2d). By contrast, 24,25(OH)2D3 level rose slower and achieved the highest concentration on 7th day during this study, with significant growth between 3rd and 7th day (p = 0.009) (Fig. 2e).

1,25(OH)2D3 level was determined at baseline and on the 3rd day, a significant increase in study group was noted (p = 0.005) (Fig. 2f). There was no statistically significant correlation between serum PTH and increase in 1.25(OH)2D3 between 3rd day and baseline (r = 0.038, p = 0.856).

The analysis of the ratio 24,25(OH)2D3 to 25(OH)D3 showed significant increase between 3rd and 7th day p = 0.002 (Fig. 2g). 25(OH)D3 to 3-epi-25(OH)D3 ratio reached significant decrease in the study group, with the highest drop on 3rd day (p < 0.001) (Fig. 2h).

A percentage increase in serum 25(OH)D3 after supplementation was dependent on baseline 25(OH)D3: the lower concentration at baseline, the higher increase in 25(OH)D3 (Fig. 3). Furthermore, there were significant positive correlations between percentage increase in 25(OH)D3 and a percentage increase serum concentration of 24,25(OH)2D3 (r = 0.954, p < 0.001), 3-epi-25(OH)D3 (r = 0.803, p < 0.001) and 1,25(OH)2D3 (r = 0.789, p < 0.001) (Fig. 4). In the control group, no significant changes in concentration of analyzed metabolites of vitamin D were observed (Supplementary Table 1).

Fig. 3.

Correlation between 25(OH)D3 at baseline and change of 25(OH)D3 7 days after oral administration of 120,000 IU of vitamin D compared to baseline, in the study group. r, Pearson’s correlation coefficient.

Fig. 4.

Correlations of changes. (a) Percentage of 3-epi-25(OH)D3 and 25(OH)D3 after 7 days and baseline. (b) Percentage of 24,25(OH)2D3 and 25(OH)D3 after 7 days and baseline. (c) Percentage of 1,25(OH)2D3 after 3 days and baseline and 25(OH)D3 after 7 days and baseline after oral administration of 120,000 IU of vitamin D in the study group. r, Pearson’s correlation coefficient.

In our study, one patient demonstrated excessive increase in 25(OH)D3 after administration of vitamin D, from 1.81 to 46.47 ng/mL on 3rd day, achieving the highest concentration of 25(OH)D3 among all participants. In addition, this patient also reached the highest level of 1.25(OH)2D3, from 5.79 to 78.45 pg/mL. Meanwhile, 24,25(OH)2D3 and 3-epi-25(OH)2D3 increased significantly and reached a peak on 3rd day. Finally, on 7th day after intervention, the concentration of 25(OH)D3 dropped to 27.51 ng/mL.

On 7th day after administration of 120,000 IU Vitamin D, increase of serum calcium was statistically significant (p = 0.032) (Fig. 5). None of the study participants developed hypercalcemia.

Fig. 5.

Changes of calcium concentration between baseline and 7 days after oral administration of 120,000 IU of vitamin D in the study group. Midpoint = median, box = IQR (Lower quartile–Upper quartile), whiskers = Min–Max. p for Wilcoxon signed ranks test.

The baseline concentration of analyzed metabolites of vitamin D were neither dependent on BMI nor percentage of fat tissue. Similarly, BMI and percentage of fat tissue were not correlated with percentage increase in concentration of these metabolites (Supplementary Table 2).

4. Discussion

In presented study, we assessed the effect of a single, oral, high dose administration of cholecalciferol (120,000 IU) on serum concentration of 25(OH)D3 and other metabolites of vitamin D, namely: 24,25(OH)2D3, 3-epi-25(OH)D3 1,25(OH)2D3, 25(OH)D2, in elderly subjects, who were admitted to the hospital due to emergency reasons. To our knowledge, it is the first trial which assessed the early influence of high dose of cholecalciferol on vitamin D metabolites in the elderly.

Most subjects had vitamin D deficiency, which confirms prevalence of the deficiency and the need for supplementation in elderly. Observation time points of changes in vitamin D metabolites serum concentrations in first week after administration were chosen since in the prior studies large single dose of vitamin D (50,000 IU or more) caused a rapid increase in 25(OH)D3 concentration and reached a peak mostly after 3 days [22, 23, 24]. High dose of cholecalciferol (120,000 IU) was chosen, because in our previous study on 35 patients admitted to the Department of Internal Medicine, after oral administration of 60,000 IU of cholecalciferol, only 4 out of 35 (11.43%) patients with baseline deficiency reached recommended serum 25(OH)D (>30 ng/mL) on the seventh day [25].

Given all the skeletal and extraskeletal benefits of adequate vitamin D status, vitamin D testing has increased rapidly in the recent years [26]. Currently, the serum 25(OH)D can be routinely measured using CLIA, ECLIA, HPLC, or LC-MS/MS-based methods [27]. However, only mass spectrometry provides the optimal detector for vitamin D metabolites separated by liquid chromatography techniques [28]. To reliably investigate the early changes in vitamin D metabolites after administration of 120,000 IU of cholecalciferol, we used LC-MS/MS technique, since it allows to identify interfering substances with may otherwise complicate accurate measurement of vitamin D status, i.a. 3-epi-(OH)D3 in 25(OH)D assay or 4,25(OH)2D3 in 1,25(OH)2D3 assay [29, 30].

In our study, the oral administration of 120,000 IU of cholecalciferol resulted in correction of vitamin D deficiency or insufficiency in most participants, (56.6%) of patients reached 25(OH)D concentrations 30 ng/mL recommended by the Endocrine Society [31]. All subjects, except for one patient, in the study group achieved a serum 25(OH)D3 concentration >20 ng/mL, recommended by the Institute of Medicine [32]. No one exceed reference value of vitamin D (30–50 ng/mL) [33]. A meta-analysis of 30 studies using bolus dosing showed that a single vitamin D3 dose of 100,000 IU offers a significant increase in vitamin D concentrations but in most studies was insufficient to raise 25(OH)D concentration >30 ng/mL in populations with baseline 25(OH)D concentrations <20 ng/mL. The dose higher than 200,000 IU were more effective, but the risk of adverse events was higher [34]. Ilahi et al. [35] reported that the elderly after administration high dose vitamin D have the lower initial peak, but the slower pace of decline in vitamin D concentration when compared to younger people. According to Ilahi et al. [35], 100,000 IU of vitamin D can be safely recommended every 2 months for patients with moderate baseline 25(OH)D concentrations.

We have consistently confirmed previous studies, that baseline 25(OH)D3 concentration determines 25(OH)D3 response to vitamin D supplementation [36, 37, 38, 39, 40]. Since hepatic hydroxylation of vitamin D may be a saturable process, response to vitamin D supplementation could be affected by baseline 25(OH)D concentrations [41]. In our study, change in 25(OH)D3 had a significant inverse correlation with baseline 25(OH)D concentration (r = –0.688, p = 0.001). The highest increase in serum 25(OH)D was observed in patients with severe deficiency (<10 ng/mL), the lowest in subjects with suboptimal concentration (20–30 ng/mL). Moreover, applied high dose did not increase vitamin D concentration to those associated with an overdose of vitamin D, even in patient who had baseline concentration of 25(OH)D3 close to 30 ng/mL. In our study the administration of high dose of cholecalciferol was associated with statistically significant decline in 25(OH)D2 level (p = 0.010). This phenomenon was already described in the study of Hammami et al. [42], in which administration of 50,000 IU vitamin D3 resulted in decrease of 25(OH)D2 at 28 day in the comparison to the placebo arm (adjusted mean difference 9.8 mmol/L, 95% confidence interval (CI) 5.2–14.4 nmol/L, p < 0.001).

Similar to previous studies, we observed the rapid increase in serum 1,25(OH)2D3, it can be explained by fast 1 alfa-hydroxylation 25(OH)D3 in condition of deficiency of vitamin D and secondary hyperparathyroidism [23, 43].

No significant correlations between percentage increase in 1,25(OH)2D3 and PTH concentration at baseline may be the result of limited number of study participants. However, in the study of Amrein et al. [23] it was suggested that responsiveness of the parathyroid glands in severely ill patients may be diminished. In our study, it seems that increase of 1,25(OH)2D3 was mainly attributed to the sudden rise of the available substrate for 1-alpha-hydroxylase in a population with pronounced vitamin D deficiency.

Simultaneously to dynamic increase of 25(OH)D3 and 1,25(OH)2D3, we noted early triggering of catabolic pathway. We found that serum 24,25(OH)2D3 concentration was positively correlated with serum 25(OH)D3, which is in accordance with the study published by Kim et al. [44], in which strong correlation between 25(OH)D3 and 24,25(OH)2D3 was observed (r = 0.868, p < 0.001). This relationship may be explained by the fact that enzymatic synthesis of 24,25(OH)2D is regulated by 25(OH)D concentration and vitamin D receptor activity in CYP24A1 [44, 45]. CYP24A1 is also inducible by its substrate 1,25(OH)2D3, which is a protective mechanism from excess VDR pathway activation. Catabolic role of CYP24A1 was also confirmed in the studies with CYP24A1-null mouse—when CYP24A1 is absent, half-life of 1,25(OH)2D3 increases significantly, from 6 to 60 hours [46, 47]. While CYP24A1 has been established as a crucial enzyme in vitamin D catabolism, it was also proven in works in balance with CYP27B1, which converts 25(OH)D to 1,25(OH)2D3, both in the kidney and extra-renal target-cells where it prevents excessive exposure to 1,25(OH)2D3 hormone [45]. In our study, we observed the gradual increase in 24,25(OH)2D3 concentration, with the highest concentration of 7th day, reflecting the activation of CYP24A1. In contrary to our study, Wagner et al. [48] indicated there is a lag in CYP24A1 activation compared to CYP27A1, suggesting that catabolism induced by vitamin D supplementation may occur over weeks not days. However, the administered dose of cholecalciferol was significantly lower (28,000 IU/weekly) and the study was conducted on healthy, young adults, which may have determined postponed activation of catabolic CYP24A1 [48].

Since the usage of LC-MS/MS method allows to determine both 24,25(OH)2D and 25(OH)D simultaneously, there is possibility to calculate 24,25(OH)2D/25(OH)D ratio, widely known as the vitamin D metabolite ratio (VMR) [49]. VMR reflects not only vitamin D degradation but also is supposed to indicate vitamin D status and VDR activity, while CYP24A1 expression is upregulated by 1,25(OH)2D [28, 49, 50]. Nevertheless, in the study of Francic et al. [51] on 106 hypertensive subjects receiving 2800 IU daily of vitamin D3, VDR did not predict the change in 25(OH)D3 after vitamin D supplementation. Concerning the 24,25(OH)2D/25(OH)D ratio the results of this study in accordance with another published report—Saleh et al. [52] has proven that the administration of 100,000 IU of vitamin D results in increase in 24,25(OH)2D/25(OH)D ratio 4 weeks after, which may be explained by the fact, that in case of the excess of substrate (25(OH)D) 24,25(OH)2D is favored over the active metabolite 1,25(OH)2D3, which allows to avoid 1,25(OH)2D3 toxicity.

In our study we also determined levels of 3-epi-25(OH)D3, which was present is all subjects. 3-epimerase catalyzes the reaction of C-3 hydroxy group of the A ring from the alpha to beta orientation, can be identified in a number of cells, but not in the kidney [13]. Despite 3-epi-25(OH)D3 can be substrate for CYP27B1 and CYP24A1, it has reduced affinity to DBP in comparison to non-epimeric form, whereas epi-1,25-(OH)2D has lower affinity to VDR, which results in reduced transcriptional activity and fewer biological effects [15]. Since we observed the peak of 3-epi-25(OH)D3 already on 3rd day, it may indicate that production of 3-epi-25(OH)D3 may be early catabolic mechanism protecting from toxicity of active forms of vitamin D, followed by the gradual increase of activity of CYP24A1, resulting in slower increase of 24,25(OH)2D concentration.

In large cross-sectional studies, it was proven that obesity is linked to vitamin D deficiency—25(OH)D correlates inversely with BMI, total fat mass, visceral adiposity, and waist circumference, also in the elderly [53, 54, 55, 56]. Many hypotheses were developed to explain this relationship—main proposed mechanism include increased serum concentration of immunoreactive PTH, higher vitamin D sequestration, dilution, and clearance in obesity [57, 58]. However, in our study there was a correlation neither between the BMI nor the percentage of fat tissue and baseline vitamin D metabolites concentrations and changes in vitamin D metabolites concentrations after the administration of 120,000 IU of cholecalciferol (Supplemeantary Table 1). It may be attributed to the relatively low number of subjects in the study and differences in dietary habits and exposure to solar UV radiation.

Low medication adherence among the elderly is a common problem and it is a consequence of i.a. the greater burden of co-morbidity and large numbers of prescribed drugs [59]. Concerning failure to medication adherence and prevalence of vitamin D deficiency in geriatric population, regimens with high vitamin D doses administered less frequently may be an advantageous option. However, the recent studies indicated that daily vitamin D3 supplementation may be more effective It is known that a single high dose of vitamin D led to greater induction of catabolic mechanisms (through the activation of 24-hydroxylase) than a daily vitamin D supplementation, the effect was dependent on the dose [60]. As a result, it may induce a downregulation of 1,25(OH)2D3. Ketha H et al. [61] demonstrated that 24.25(OH)2D3/25(OH)D3 ratio after single bolus (150,000 IU) attained a significantly greater value for at least 28 days after administration, compared with daily dose group (5000 IU/per day), in which the 24,25(OH)2D3/25(OH)D3 remained relatively stable and lower than the baseline value. However, is worth noting that 1,25(OH)2D3 concentrations were not significantly different in the two dosing groups in this study [61]. The second possible mechanism explaining the advantage of daily supplementation is the fact that cholecalciferol with 20 h half-life is continuously available for internalization into cells in comparison to bolus dosing. Intact vitamin D binds to DBP much less strongly than 25(OH)D, thus cholecalciferol enters the cell easily for activation [62]. These mechanisms could explain divergences in outcomes depending on dosing regimen that have been observed in intervention studies, for example a recent meta-analysis concerning acute respiratory infections [63]. These observations require confirmation in large-scale intervention studies, comparing the different vitamin D dosage regimens.

5. Conclusions

In our study, oral administration of high dose of vitamin D may be safe and effective option for vitamin D insufficiency correction in elderly patients. We also confirmed the efficacy of catabolic mechanisms of vitamin D, namely 3-epi-25(OH)D3 and 24,25(OH)2D3 production, which prevents excessive increase of active form of vitamin D.

Author Contributions

DL, WM, WZ and PG designed the research study. DL and AS performed the research. DL, AS, KK, DR and PG analyzed the data. DL, AS, KK, MO and PG wrote the manuscript. All authors contributed to editorial changes in the manuscript. All authors read and approved the final manuscript.

Ethics Approval and Consent to Participate

The study was approved by Bioethics Committee of Centre of Postgraduate Medical Education (Warsaw, Poland) on 14.04.2021 (number 19/2021). Effect of Single High Dose of Cholecalciferol on Serum Metabolites of Vitamin D, is registered and will be posted on the ClinicalTrials.gov public website (Identifier: NCT05591170).

Acknowledgment

Not applicable.

Funding

This research received no external funding.

Conflict of Interest

The authors declare no conflict of interest.

Supplementary Material

Supplementary material associated with this article can be found, in the online version, at https://doi.org/10.31083/j.fbl2710289.

References

Publisher’s Note: IMR Press stays neutral with regard to jurisdictional claims in published maps and institutional affiliations.