Frontiers in Bioscience-Elite (FBE) is published by IMR Press from Volume 13 Issue 2 (2021). Previous articles were published by another publisher on a subscription basis, and they are hosted by IMR Press on imrpress.com as a courtesy and upon agreement with Frontiers in Bioscience.
1 School of Psychology, Pevensey Building, University of Sussex. BN1 9QJ. UK
2 Department of Psychology, Edinburgh Napier University, EH10 5DS. UK
3 Department of Psychology, University of Edinburgh, 7 George Square. EH8 9JZ. UK
Abstract
Previous research into personality and synaesthesia has focused on adult populations and yielded mixed results. One particular challenge has been to distinguish traits associated with synaesthesia, from traits associated with the ways in which synaesthetes were recruited. In the current study we addressed recruitment issues by testing randomly sampled synaesthetes, and we looked particularly at synaesthesia in childhood. Our child synaesthetes were identified by a screening program across 22 primary schools in the South East of England (n = 3387; children aged 6 to 10 years old). This identified two types of synaesthete (grapheme-colour synaesthesia and sequence-personality synaesthesia), and we tested their personalities using both child-report and parent-report measures. We found strong support for synaesthesia being associated with high Openness to Experience, a personality trait linked to intelligence and creativity. Both synaesthesia subtypes showed this feature, supporting previous research in adults (1–3). We additionally found low Extraversion in grapheme-colour synaesthetes and high Conscientiousness in sequence-personality synaesthetes. We discuss our results with reference to earlier recruitment issues, and as to how perceptual differences such as synaesthesia might link to trait-differences in personality.
Keywords
- Synaesthesia
- Personality
- Children
- Grapheme-Colour
- Ordinal Linguistic Personification
- Review
Synaesthesia is a rare perceptual or cognitive trait affecting approximately 4.4% of the population (4). People with synaesthesia experience unusual colours, tastes, and other sensations when engaged in everyday activities like reading or listening to music (for review see (5)). In the current study we focus on two common types of synaesthesia in which reading letters and numbers triggers either colours (grapheme-colour synaesthesia; e.g., the synaesthete feels that A is red, 7 is blue) or personifications (sequence-personality synaesthesia; e.g., the synaesthete feels that A is outgoing and male; 7 is generous and female (6, 7)). Both forms are widely recognised variants of synaesthesia with known neurological profiles. For example, people with grapheme-colour synaesthesia show altered white matter connectivity in regions associated with colour processing (see (8) while people with sequence-personality synaesthesia show differences in regions associated with social processing (see (9). Sequence-personality synaesthesia is also known as ordinal linguistic personification (OLP) synaesthesia and we refer to it using this shorter acronym throughout our paper. In this study we ask whether children with either form of synaesthesia show differences in their personality profiles. In other words, we ask what is the personality of a typical child with synaesthesia? This is the first time any study has considered personality differences in children as a result of this unusual trait. We look specifically at differences between randomly sampled child synaesthetes aged 6-10 years, compared to matched non-synaesthetic controls.
It may not be surprising if we were to find that synaesthetes have a specific personality profile, since synaesthetes are known to differ from their peers in a number of ways that transcend synaesthesia itself. For example, adult synaesthetes have better memories (10), better spatial processing, and increased visual imagery (11). Additionally, child synaesthetes show faster processing speed (12) and heightened vocabulary knowledge (13). Studies have also examined whether there is a particular personality profile associated with synaesthesia, at least in adults. This earlier research focussed on the “Big Five” model of personality (14) which considers personality as having five component parts, or factors. These factors are widely known as Openness to Experience, Conscientiousness, Extraversion, Agreeableness, and Neuroticism (15, 16). The factor of Conscientiousness relates to self-discipline and organisation. Extraversion is associated with being outgoing and dominant, Agreeableness with traits such as empathy and cooperation, and Neuroticism describes how much one is anxious versus emotionally stable. Finally, Openness to Experience reflects intellectual curiosity, artistic interest and imagination (17). Previous research has therefore asked whether adult synaesthetes show differences to their peers in their personalities, as captured by the five factor model.
Three seminal studies have looked at personality in adults with the types of synaesthesia we examine here (e.g., coloured letters; (1–3)). We review these important studies because we will be conducting similar research on children. Despite a number of differences across these adult studies (see below) all converged on one finding at least, that the synaesthetes they tested showed higher Openness to Experience compared to non-synaesthete controls (1–3). Additional support for this elevated Openness in synaesthetes may come, too, from studies of their creativity -- a feature closely tied to Openness (18). Rothen and Meier (19) found that grapheme-colour synaesthesia was more prevalent amongst art students compared to controls, and Ward, Thompson-Lake, Ely, and Kaminski (21) showed that synaesthetes engage more in artistic pursuits (see also (21, 22)). Chun & Hupé (2) also reported that synaesthetes scored higher on absorption, a trait related to the enjoyment of imaginative activities. Finally, synaesthetes also scored higher in convergent thinking ((20); using the Remote Associates Test; (23)) a trait linked to creativity and intelligence (both Openness features; (18)). In sum, studies have shown in multiple ways that synaesthesia may be linked to the trait of Openness to Experience – at least for the adult synaesthetes tested in those earlier studies.
Although the three studies reviewed above converged on elevated Openness in synaesthetes, their findings were problematic in several ways. First, their results differed widely on personality factors other than Openness. So the 81 grapheme-colour synaesthetes tested by Banissy et al. (1) also showed lower Agreeableness than controls. The 89 synaesthetes tested by Rouw and Scholte ((3); with varying forms of synaesthesia including graphame-colour synaesthesia) scored significantly higher on Neuroticism, and they scored low on Conscientiousness. And in contrast again, Chun and Hupé (2) found no other Big Five factors aside from Openness, when testing their 29 synaesthetes with multiple forms of synaesthesia (again including grapheme-colour synaesthesia). This body of research therefore suggests that whilst there are likely to be differences in personality associated with being an adult synaesthete, it is unclear precisely what those differences are, which synaesthesias they affect, and whether any trait other than Openness could be replicated1.
A second question arises over the ways in which these synaesthetes were recruited for study. Banissy et al. (1) recruited synaesthetes from a cohort who had reached out to the university and agreed to leave their contact details for future synaesthesia studies. But it is reasonable to assume that this type of volunteer might show certain personality traits irrespective of synaesthesia. For example, they may be driven by high levels of intellectual curiosity, a feature that is important for Openness to Experience. Importantly, Banissy et al.’s controls were recruited differently (e.g., some were personal acquaintances who took part in response to personal request). Hence self-referred synaesthetes might score higher on Openness, simply by virtue of the recruitment method. In Chun and Hupé (2) and Rouw and Scholte (3), steps were taken to minimise sampling biases by ensuring participants were recruited similarly. However, neither study included a fully random sample of verified synaesthetes. For example, Chun and Hupé (2) included descriptions of synaesthesia in their recruitment materials, which might dispproportionately attract intellectually-curious synaesthetes (i.e., those high on Openness wishing to better understand themselves). And Rouw and Scholte (3) did not verify their self-declared synaesthetes with an objective test, which is an important stage in confirming bona fide synaesthesia (4, 24). This is because Simner et al. (4) have shown that a suprisingly high number of self-declared ‘synaesthetes’ are not synaesthetes at all. This may be due to misunderstanding, or inattention when filling out the questionnaire, or due to malingering. Both inattention and malingering are associated with low Conscientiousness – one of the traits found in those self-referring as synaesthetes for Rouw and Scholte (3). Similarly, another trait found by Rouw and Scholte was high Neuroticism, and this has been linked with hypochondria and pathologizing (25), so again might be higher in a group of ‘synaesthetes’ if they were, at least in part, people without synaesthesia at all.
In summary, establishing the personality traits of rare groups such as synaesthetes poses particular problems if recruitment (a) informs subjects about synaesthesia during recruitment (b) relies on self-diagnoses of synaesthesia without an objective test (c) recruits synaesthetes differently to controls, or (d) accepts sporadic self-referred volunteers from the population at large (as opposed to identifying synaesthetes using large-scale screening methods as we do here; see below). All these methodological choices are widely used in the literature, and are particularly understandable given difficulties in recruiting synaesthetes, but they may have an adverse effect on assessments of personality. In the current study we therefore take a different approach to avoid these issues, by using wide-scale screening. This screening for synaesthesia targeted the student bodies of 22 primary schools (n= 3387; children aged 6 to 10 years old) and did not mention synaesthesia. Parents/children were free to opt-out but very few did (only 1% of our sample) and this allowed us to capture the personalities of synaesthetes and non-synaesthetes while at the same time avoiding the recruitment problems in adult studies described earlier.
Aside from the methodological issues discussed above, previous studies suggest the very real possibility that different forms of synaesthesia might generate different personality profiles. We therefore tested here whether personality is different across two different types of synaesthesia. One final issue arising from adult studies is that they cannot establish whether personality differences emerge slowly over time, or whether they are observable even in very young synaesthetes. In the current study we therefore examine personalities while synaesthetes were still young (ages 6-10 years). By targeting this age group, we can better understand whether personality differences arise from some a priori (e.g., neurodevelopmental) source -- emerging early -- or whether they arise from repeated exposure to synaesthesia over time – emerging only in adults. For example, repeated exposure to synaesthetic colours might drive synaesthetes to want to engage in creative activities (e.g., painting) and thereby heighten their trait of Openness (see (26) for a similar account in a first-person anecdotal report). Here we may not expect peaks of Openness in young synaesthetes, given their fewer synaesthetic experiences compared to adult synaesthetes.
In testing the personalities of child synaesthetes, there are several key considerations. Traits can be unstable in children and the trait of Openness is particularly variable in measurements (17). Moreover, reliability between child-report and parent-report is typically moderate only (16, 27). This means that children’s self-rated reports may hold additional information, or that children may have a different viewpoint compared to their parents. For this reason, it will be beneficial to use children’s own self-report in conjunction with adult-ratings, to get a comprehensive assessment of their personalities. Rinaldi, Smees Carmichael and Simner (28) found that children as young as 8 years old can self-report personality on a questionnaire but children younger than 8 struggle to do this. We therefore measure personality using parent-report for children 6-10 years, but also child-report measures for children aged 8 years and older (28).
In screening for synaesthesia we use the gold standard method to identify a key marker of synaesthesia known as consistency-over-time. When synaesthetes describe their associations (e.g., A is red, 9 is outgoing) and repeat these descriptions later, they do so with high consistency. Hence the colour of any particular letter (e.g., A is red) does not change markedly over time for any given grapheme-colour synaesthete, and the personality does not change (e.g., 9 is outgoing) for an OLP synaesthete. Diagnostics for synaesthesia therefore elicit associations twice and assess consistency-over-time: synaesthetes are identified as those who are extremely consistent, while non-synaesthetes are inconsistent. One particular challenge in testing child synaesthetes, however, is that their consistency grows with age. At age 6-7 years, child grapheme-colour synaesthetes have only approximately 34% of their alphabet with fixed synaesthetic colours (rising to 71% by age 10-11 years; (29)). For this reason, we used a specialised in-house test of consistency that takes into account the rising levels of consistency within child synaesthetes as they age, and sets the diagnostic threshold between synaesthetes and non-synaesthetes accordingly (see Methods, and (30, 31)).
In summary, here we screen a very large sample of children (aged 6-10 years) for two types of synaesthesia (OLP and grapheme-colour synaesthesia), and at the same time, we measure their personality traits. We have four aims. First, we ask whether synaesthetes have higher Openness than their peers when avoiding the recruitment issues of adult studies. Second, we also seek any other differences in personality profile (higher Neuroticism, lower Conscientiousness and, lower Agreeableness) as found in Rouw and Scholte (3), and Banissy et al. (1). Third, we compare our child findings to earlier adult studies, to detect any potential developmental differences (see Discussion). Finally, we aim to compare childhood grapheme-colour synaesthesia and OLP synaesthesia, to ask whether different personality traits are tied to different forms of synaesthesia.
We tested 3387 children from 22 UK primary schools in East and West Sussex, Southern England, who were aged 6 to 10 years during the first of the two sessions required for this study (see below). Our cohort comprised 1650 girls (mean age 8.43, SD 1.17) and 1737 boys (mean age 8.43, SD 1.17). Our tests below will divide these children into target groups of synaesthetes and matched controls (see Materials and Procedures for how groups were categorised, and see Results for the numbers within each group).
One hundred and thirty additional subjects were excluded, 40 of whom were opted out either by their parents or themselves (only 1.08% of children across the 22 target schools); nine did not speak English (i.e., were newly arrived in the UK); one was out of her year group in age; and 80 had missing data (e.g., experienced a technical failure, were taken out of class during testing). We also invited the parents of the entire child cohort to take part in our parent-questionnaire. Two hundred and seventy-eight parents of our target children participated (i.e., 278 were parents of those children we subsequently categorised as either synaesthetes or their matched controls; see Results for numbers within each group). This study was approved by the Sussex University Science and Technology Ethics Committee.
Our in-house test for grapheme-colour synaesthesia in children is reported in detail by Simner, Rinaldi, et al. (30)2. The test was delivered via an app, installed on touch screen tablets, handed out one per child (either Acer Aspire SW3-016 tablets or Acer One 10 tablets, running on Windows 10 with an Intel® Atom TM x5-Z8300 Processor and 10.1" HD LED displays; 1280 x 800 pixels). During the test, children saw 36 graphemes (letters A-Z; numbers 0-9) displayed on-screen, one by one. To the right of the grapheme was a colour palette with 23,050 different colours (see (31) for the design-features which ensured this palette was child-friendly). Children were instructed to “choose the best colour” for each letter or number; they were told there was no right or wrong answer but that they should avoid repeatedly choosing the same colour for everything. Across the entire test, graphemes were presented three times each in a block design, which first randomised A-Z and 0-9 in Block 1, and then pseudo-randomised these 36 graphemes again in each of two more blocks to ensure the same grapheme would never be repeated consecutively.
Following Simner, Rinaldi, et al. (30), our analysis will compare the three colours given for each grapheme (e.g., the three colours given for the letter A), to assess how consistently each child gave colours for letters and numbers. Children with a large number of highly consistent graphemes were identified as potential synaesthetes (see Results for the level of consistency required and number of children identified) and these potential synaesthetes were re-tested in a second session 6-10 months later (mean= 7.62 months; SD= 1.12). In this second session (henceforth Session 2) potential synaesthetes were given the same test again, to determine whether they again showed consistency. Only children consistent within Session 1, consistent within Session 2, and consistent longitudinally across sessions (i.e., across 7.62 months) would be ultimately recognised as true synaesthetes (see Results).
This in-house diagnostic is reported in detail in Simner, Alvarez, et al. (31). It again tests for synaesthesia by identifying consistent associations, but this time the associations are between graphemes and personifications (e.g., A is a friendly female). In this test, children saw the letters of the alphabet presented in a randomized order down the centre of a page, and were required to match each letter to one of six faces (shown as line drawings). Three of the faces were female and three were male, and within each sex they were either friendly, neutral, or unfriendly. Children were required to choose one face for each letter (e.g., A = friendly female). After completing the task for all letters, children saw the letters again in a re-randomised order 40 minutes later, and gave their associations again. In other words, they provided two personifications per letter within Session 1. As before, children were identified who showed high consistency within Session 1 (see Results for how consistency was measured). These potential synaesthetes repeated the test again in a second session (Session 2; 7.62 months later).
In Session 1 children completed our test as a pencil-and-paper task but used touchscreen electronic tablets in Session 2 to expedite scoring. The paper and electronic tests were identical in appearance and design, except that where children drew a line between a letter and its face using a pencil in Session 1, they traced a line with their finger on the touch-screen in Session 2 (and the app drew a line in response). The tablet app prevented children from choosing more than one line per letter, whereas this role was undertaken by the supervising researcher for the pencil-and-paper version. For the tablet version, children were given the same individual 10” tablets described above.
Children in Session 2 completed a self-report questionnaire called the Definitional BFI-44-C (28). The items in the questionnaire each relate to one of the Big Five factors of personality, and there were ten items for Openness, nine for Conscientiousness and eight for Extraversion, Agreeableness and Neuroticism. For example, one item states “I see myself as someone who does things carefully and completely” (Conscientiousness factor). Children were required to respond on a 5-point Likert Scale from “Disagree Strongly” to “Agree Strongly”. This questionnaire is based on the BFI-44 (Big Five Inventory, 44 item; (18, 32, 33)) but provides definitions for words to make the test suitable for children (following (28); e.g., one items states “I see myself as someone who starts quarrels with others” and has a definition which appears a pop-up on-screen as “This means someone who starts arguments.”).
We presented this test during Session 2, using the tablets described above. This test was completed by our potential grapheme-colour synaesthetes, potential OLP synaesthetes, and by a group of controls. Controls had been matched to potential synaesthetes (two controls per potential synaesthete) according to age and sex, but were children who had not shown high consistency within the synaesthesia tests of Session 1 (specifically, their consistency in Session 1 had fallen below a threshold placed at 1SD above the mean). These average-performing controls were matched from the same school if this was possible, or if this was not possible, they were matched from a school sharing the same socio-economic status (i.e., using each school’s percentage Free School Meals, as the UK school-wide benefit linked to low household income (34)). The number of children falling within each age, sex, and experimental group (potential synaesthetes, controls) is shown in the Results. Finally, since our personality questionnaire is only suitable for older children (8 years and above) (28) our youngest children did not complete it (i.e., anyone 6-7 years in Session 2).
In order to capture personality in the most comprehensive way possible, we additionally looked at how parents rated the personality of their children, using the equivalent BFI-44 test for parents. The BFI-44-parent (18) was recently validated by Rinaldi et al. (28) and is identical to the child-version above, but has no definitions and relates to the child (e.g., “I see my child as someone who… ”). Parents completed either a pencil-and-paper version sent by post, or they completed an identical version posted on the website Qualtrics, which they accessed via a URL sent to them by email (the decision of post vs. email was dictated by how each school communicated routinely with its parents). The questionnaire was sent out during Session 1 testing, and reminder emails were sent during Session 2 testing, and then again once our child-testing was complete.
We diagnosed grapheme-colour synaesthesia according to the methodology of Simner, Rinaldi et al. (30). In brief, this involves the following steps. After Session 1, we first identified children who had not followed task instructions (children had been instructed not give the same colour for everything). Here used a DBSCAN clustering method (35) to remove large clusters of colours for participants who had for example, chosen red for all graphemes. This method is described more fully in (30) but essentially recognises large clusters of similarly coloured graphemes, and removes them from all consistency calculations (e.g., removing letters C, D, F, H, J, S, T, U, W, Z and numbers 4, 6, 7, 8 if all were a similar colour). With this method we identified and subsequently excluded 30 potential grapheme-colour synaesthetes who had large clusters of the same colour for 40% or more of their graphemes (in either Session 1 or 2). Table 1 summarises our final classification of children at each stage (Session 1 and Session 2 and subject-removal).
| Status Session 1 | Status Session 2 | Gender | Age (in years) | ||||
|---|---|---|---|---|---|---|---|
| 6 | 7 | 8 | 9 | 10 | |||
| Potential synaesthete | Potential synaesthete n = 332 | F 168 | 29 | 42 | 38 | 36 | 23 |
| M 165 | 33 | 39 | 43 | 34 | 16 | ||
| Synaesthete n = 41 | F 22 | 1 | 5 | 3 | 7 | 6 | |
| M 19 | 1 | 5 | 5 | 7 | 1 | ||
| High-performing Control n =261 ( Removed n =30) | F 137 | 25 | 35 | 33 | 29 | 15 | |
| M 124 | 27 | 29 | 32 | 22 | 14 | ||
| Average-performing control | Average-performing control n =663 | F 332 | 56 | 82 | 67 | 87 | 40 |
| M 331 | 69 | 74 | 82 | 74 | 32 | ||
| Average-performing Control n = 605 (Removed n =58) | F 318 | 52 | 77 | 64 | 87 | 38 | |
| M 287 | 58 | 66 | 72 | 61 | 30 | ||
After excluding these children we identified 332 potential grapheme-colour synaesthetes, as children who had given consistent colours for their graphemes in Session 1. Specifically, these children had a significantly high number of consistent letters and/or numbers, compared to age-matched peers (i.e., 1.96 standard deviations above the mean for his/her age group; following (30)). We recognised ‘consistent letters and/or numbers’ by examining the three selections the child had given in Session 1 for each grapheme (e.g., his/her three colours for the letter A). We computed the colour distance between them (in CIELAB colour space; (36)) and where this colour distance was particularly small (1 SD smaller than the mean for that same grapheme across all children) we scored the child 1 point. We then repeated this for all the child’s letters and numbers, thereby giving him/her a Session 1 Letter Score (out of 26) and a Session 1 Number Score (out of 10)3. We then looked across all children to find the overall distribution of Session 1 Letter Scores and Session 1 Number Scores. Anyone with a particularly high score (1.96 standard deviations above the mean for their age) showed signs of having many consistently-coloured graphemes. These children were classified as potential synaesthetes and were retested in Session 2. (The remaining children were not tested for synaesthesia in Session 2, but as noted above, 663 of them were paired with potential synaesthetes for the purposes of our personality testing; this group were named average-performing controls; Table 1).
In Session 2 we again tested the consistency of potential synaesthetes, in order to identify those who were true synaesthetes. We knew that potential synaesthetes would have included two types of children: true synaesthetes but also non-synaesthetic children who scored highly within Session 1 simply by chance, by employing some type of strategy (e.g. R = red, G = Green) or from having a superior memory span. We name these high-performing non-synaesthetes4, and the goal of Session 2 was to divide the potential synaesthete group into true synaesthetes versus high-performing non-synaesthetes. True synaesthetes would continue to be consistent when we tested them again, and over a longer period, while high-performing non-synaesthetes would not. Hence we calculated consistency again, but now calculating each child’s Letter Score and Number Score within Session 2. Scores were again out of 26 and 10, respectively, and were computed for each child in the same manner as before (i.e., we scored a point for each letter and number whose colour-distance was below the mean for that grapheme by 1SD or more). Following Simner, Rinaldi et al. (30) we took our means again from Session 1 because this allowed us to use the largest sample available to set our mean baselines. Using these baselines, we flagged any child whose Session 2 Number Score or Letter Score was significant high for his/her age (i.e., >1.96SD above the age-linked mean, as before).
In parallel we also computed one final consistency score: the Delayed consistency score. This was an indication of which children had been consistent not within Session 1 or within 2, but across the 6-10 month interval separating the two sessions. For delayed consistency we compared the first selection of colours in Session 1 with the first selection in Session 2 (e.g., the first of the three colours given for letter A in Session 1, compared to the first of the three colours given for letter A in Session 2). We computed Letter and Number Scores in the same manner as before, again using the Session 1 means to identify who was 1.96SD more consistent than the mean for his/her age. (This was a very conservative requirement since it meant that true synaesthetes needed to be significantly more consistent across 6-10 months than their peers had been within the 10 minute test of Session 1.) Given all these measures, we divided our participants into three groups: true synaesthetes (consistent within Session 1, and consistent within Session 2, and consistent across sessions) versus high-performing non-synaesthetes (consistent in Session 1, but not in all three), versus average-performing non-synaesthetes (inconsistent in Session 1).
We identified OLP synaesthetes following Simner, Alvarez et al. (31). This takes a similar approach to above, in that we first identified a group of potential synaesthetes who were consistent within Session 1 and we then used data from Session 2 to separate this group into true synaesthetes (who continued to be consistent in Session 2, and across sessions) and high-performing non-synaesthetes (i.e., who did not continue to be consistent after Session 1). Unlike above, children were given three consistency scores (each out of 26 letters) because they could show consistency (a) for personality matches, where gender is ignored (e.g. A is always friendly) (b) for gender matches, where personality is ignored (e.g. A is always female), and (c) for strict matches, where both personality and gender count (e.g. A is always a friendly female). Children identified as consistent within any of these scores were identified as potential synaesthetes from Session 1 (and subsequently re-classified after Session 2 as either true synaesthetes or high-performing non-synaesthetes).
As above, high-performing non-synaesthetes will have scored well in Session 1 either from memory alone or by having applied strategies that they failed to apply in subsequent testing (e.g. G is for girl therefore G is female). Recognising strategies is particularly important in this OLP test because responses are made from among only six choices (i.e., six faces), rather than the 23,050 colours in the grapheme-colour test. This means that chance-responding produces relatively consistent performance, so there is a risk of approaching ceiling if strategies are used even to a minor degree. For this reason, we follow Simner, Alvarez et al. (31) in determining consistency using a weighted scoring method, which scored rarer matches (e.g., F = male) more highly than common matches (e.g., F = female). We then applied the thresholds from Simner, Alvarez et al. (31) to identify children responding consistently for their age in any of their scores (at the 99th percentile from a Monte Carlo simulation of weighted scores, see (31)).
As a result of these calculations, we identified 241 potential OLP synaesthetes, who had given consistent personifications for letters in Session 1. After Session 2, our potential synaesthetes were further divided into the categories of true synaesthete and high-performing non-synaesthetes, (Table 2). We also identified 481 matched children to serve as average-performing controls (i.e., children who failed the consistency test in Session 1). Finally, we removed 127 children for not following task instructions. These children had chosen the same gender or personality for most of the alphabet (i.e., same gender across > 20/26 letters or the same personality across >16/26 letters; see (31)); these were 45 average-performing controls and 82 potential synaesthetes (removed along with their own 157 controls; Table 2).
| Status Session 1 | Status Session 2 | Gender | Age (in years) | ||||
|---|---|---|---|---|---|---|---|
| 6 | 7 | 8 | 9 | 10 | |||
| Potential synaesthete | Potential synaesthete n =241 | F 122 | 12 | 30 | 31 | 35 | 14 |
| M 119 | 22 | 30 | 25 | 29 | 13 | ||
| Synaesthete n = 41 | F 20 | 0 | 3 | 7 | 6 | 4 | |
| M 21 | 1 | 5 | 3 | 8 | 4 | ||
| High-performing Control n = 118 (Removed n =82) | F 65 | 6 | 18 | 16 | 18 | 7 | |
| M 53 | 8 | 12 | 13 | 16 | 4 | ||
| Average-performing control | Average-performing control n = 493 | F 248 | 36 | 46 | 64 | 70 | 32 |
| M 245 | 47 | 56 | 57 | 61 | 24 | ||
| Average-performing Control n = 291 (Removed n =202) | F 162 | 17 | 32 | 39 | 48 | 26 | |
| M 129 | 14 | 24 | 34 | 42 | 15 | ||
We next examined the personality traits of the different groups identified in our synaesthesia screening. These tests had identified 41 grapheme-colour synaesthetes, along with their 663 average-performing controls and 289 high-performing controls. The tests had also identified 41 OLP synaesthetes, along with their 291 average-performing controls and 118 high-performing controls. Since we did not anticipate a difference in our controls depending on which type of synaesthete we had allocated them to, we collapsed control groups to enlarge sample size. Hence our personality analyses will compare four groups: grapheme-colour synaesthetes, OLP synaesthetes, average-performing controls and high-performing controls.
Since our child-rated personality test was taken only by those aged 8 and over, it was taken by of 30 grapheme-colour synaesthetes (15 female, 15 male, mean age = 9.16, SD = 0.83), 32 OLP synaesthetes (17 female, 15 male, mean age = 9.08, SD = 0.83), 209 high-performing controls (114 female, 95 male, mean age = 8.93, SD = 0.85) and 465 average-performing controls (243 female, 222 male, mean age = 8.98, SD = 0.85). In our parent-rated personality test, we had 278 parents. Of these 15 were parents of grapheme-colour synaesthetes (11 female, 4 male, mean age = 8.40, SD = 1.16), 20 were parents of OLP synaesthetes (10 female, 10 male, mean age = 8.71, SD = 1.13), 114 were parents of high-performing controls (64 female, 50 male, mean age = 8.35, SD = 1.21) and 133 were parents of average-performing controls (64 female, 69 male, mean age = 8.32, SD = 1.18).
Since we will compare the personality traits of grapheme-colour synaesthetes and OLP synaesthetes, we therefore removed the five children who had both types of synaesthesia (grapheme-colour and OLP) because they could not be allocated to either of our mutually-exclusive groups (and we judged that n = 5 would be too small to explore personality within multiple-variant synaesthetes). The number of children in each group are shown in the analyses below, for child-rated personality and parent-rated personality respectively. We conducted multinomial log-linear regression analyses in R version 3.5.0. using the nnet package version 7.3-12 (37). In this analysis we used personality scores as predictors, with membership in one of the four groups as the outcome. The reported changes in likelihood are in comparison to our control group, treating our largest cohort as the reference group (i.e., average-performing controls; “Tables 3-4, for parallel models switching reference group to high-performing controls). We included age as a covariate given age-differences across groups (F (4, 1086) = 3.93, p = .004) and we followed standard approaches to ipsatize child-rated personality scores prior to our analyses, in order to control for the effect of acquiescence-bias in children (see (28)).
In our child-rated questionnaire, we investigated differences between 25 grapheme-colour synaesthetes, 27 OLP synaesthetes, 405 average-performing controls, and 209 high-performing controls. Setting our reference group to average-performing controls, we found participants were significantly more likely to be synaesthetes if they had higher Openness scores, for both grapheme-colour synaesthetes and for OLP synaesthetes (Table 5). Here, a one unit increase in Openness scores corresponded to a 5.63 increase in odds of being a grapheme-colour synaesthete (or a 463% increase in the odds), and a one unit increase in Openness corresponded to a 4.22 increase in the odds of being an OLP synaesthete (322% increase in odds). We next set our reference to high-performing controls and found a similar pattern (Table 3 ); an increase in Openness was associated with 3.87 increase (287%) in the relative odds of being a grapheme-colour synaesthete compared to a high-performing controls. There was also a 2.90 increase (190%) in the relative odds of being an OLP synaesthete, but this effect was only trending (p = .078; Table 3).
| Group | Term | Co-efficients | Lower CI (Co-efficient) | Upper CI (Co-efficient) | SE | Wald z | p-value | Odds Ratios | % Change in Odds |
|---|---|---|---|---|---|---|---|---|---|
| Reference | |||||||||
| Controls | High-performing | ||||||||
| Average-performing controls | Intercept | -0.12 | -1.61 | 1.37 | 0.76 | -0.16 | .873 | 0.88 | -11.45 |
| Neuroticism | -0.07 | -0.38 | 0.24 | 0.16 | -0.43 | .699 | 0.93 | -6.56 | |
| Openness | -0.37 | -0.81 | 0.06 | 0.22 | -1.68 | .094 | 0.69 | -31.26 | |
| Agreeableness | 0.06 | -0.38 | 0.50 | 0.22 | 0.26 | .792 | 1.06 | 6.06 | |
| Conscientiousness | -0.20 | -0.61 | 0.21 | 0.21 | -0.97 | .332 | 0.82 | -18.34 | |
| Extraversion | -0.01 | -0.36 | 0.34 | 0.18 | -0.05 | .960 | 0.99 | -0.88 | |
| Age | 0.13 | -0.05 | 0.31 | 0.09 | 1.45 | .146 | 1.14 | 13.90 | |
| Grapheme-colour Synaesthete | Intercept | -5.45 | -9.51 | -1.38 | 2.08 | -2.62 | .009 | 0.00 | -99.57 |
| Neuroticism | 0.11 | -0.66 | 0.87 | 0.39 | 0.28 | .783 | 1.11 | 11.35 | |
| Openness | 1.35 | 0.05 | 2.65 | 0.66 | 2.04 | .042* | 3.87 | 286.61 | |
| Agreeableness | 0.67 | -0.48 | 1.82 | 0.59 | 1.14 | .256 | 1.95 | 94.92 | |
| Conscientiousness | -0.57 | -1.62 | 0.49 | 0.54 | -1.05 | .292 | 0.57 | -43.31 | |
| Extraversion | -0.30 | -1.21 | 0.62 | 0.47 | -0.63 | .528 | 0.74 | -25.57 | |
| Age | 0.28 | -0.18 | 0.74 | 0.23 | 1.18 | .238 | 1.32 | 31.81 | |
| OLP synaesthete | Intercept | -3.43 | -7.19 | 0.33 | 1.92 | -1.79 | .073 | 0.03 | -96.78 |
| Neuroticism | 0.13 | -0.64 | 0.90 | 0.39 | 0.33 | .739 | 1.14 | 13.94 | |
| Openness | 1.06 | -0.12 | 2.25 | 0.60 | 1.76 | .078 | 2.90 | 189.84 | |
| Agreeableness | -0.74 | -1.78 | 0.29 | 0.53 | -1.41 | .159 | 0.48 | -52.46 | |
| Conscientiousness | 0.52 | -0.48 | 1.53 | 0.51 | 1.02 | .310 | 1.68 | 68.43 | |
| Extraversion | -0.38 | -1.25 | 0.49 | 0.45 | -0.86 | .392 | 0.68 | -31.66 | |
| Age | 0.12 | -0.32 | 0.56 | 0.22 | 0.53 | .597 | 1.13 | 12.54 | |
| Group | Term | Co-efficients | Lower CI (Co-efficient) | Upper CI (Co-efficient) | SE | Wald z | p-value | Odds Ratios | % Change in Odds |
|---|---|---|---|---|---|---|---|---|---|
| Reference | |||||||||
| Controls | High-performing | ||||||||
| Average-performing controls | Intercept | -1.25 | -4.77 | 2.27 | 1.80 | -0.69 | .487 | 2.87 | -71.33 |
| Neuroticism | 0.02 | -0.33 | 0.37 | 0.18 | 0.09 | .925 | 1.02 | 1.69 | |
| Openness | 0.17 | -0.35 | 0.69 | 0.27 | 0.63 | .529 | 1.18 | 18.26 | |
| Agreeableness | 0.19 | -0.21 | 0.58 | 0.20 | 0.92 | .358 | 1.20 | 20.37 | |
| Conscientiousness | -0.38 | -0.76 | 0.01 | 0.20 | -1.90 | .057 | 0.69 | -31.31 | |
| Extraversion | 0.23 | -0.11 | 0.57 | 0.17 | 1.31 | .189 | 1.26 | 25.75 | |
| Age | 0.05 | -0.16 | 0.26 | 0.11 | 0.45 | .656 | 1.05 | 4.94 | |
| Grapheme-colour Synaesthete | Intercept | -7.92 | -18.19 | 2.35 | 5.24 | -1.51 | .131 | 3.63 | -99.96 |
| Neuroticism | -0.43 | -1.29 | 0.43 | 0.44 | -0.98 | .326 | 0.65 | -35.02 | |
| Openness | 2.27 | 0.38 | 4.16 | 0.96 | 2.36 | .018* | 9.68 | 868.43 | |
| Agreeableness | -0.06 | -1.04 | 0.93 | 0.50 | -0.11 | .912 | 0.95 | -5.39 | |
| Conscientiousness | -0.05 | -1.00 | 0.91 | 0.49 | -0.09 | .925 | 0.96 | -4.46 | |
| Extraversion | -0.91 | -1.73 | -0.10 | 0.41 | -2.20 | .028* | 0.40 | -59.87 | |
| Age | 0.08 | -0.45 | 0.62 | 0.27 | 0.31 | .760 | 1.07 | 8.66 | |
| OLP synaesthete | Intercept | -9.35 | -17.49 | -1.21 | 4.15 | -2.25 | .024 | 8.71 | -99.99 |
| Neuroticism | 0.20 | -0.52 | 0.92 | 0.37 | 0.55 | .585 | 1.22 | 22.09 | |
| Openness | 0.99 | -0.27 | 2.26 | 0.65 | 1.54 | .123 | 2.70 | 170.43 | |
| Agreeableness | -0.51 | -1.32 | 0.30 | 0.41 | -1.24 | .214 | 0.60 | -40.06 | |
| Conscientiousness | 0.62 | -0.26 | 1.50 | 0.45 | 1.38 | .168 | 1.86 | 85.77 | |
| Extraversion | 0.04 | -0.65 | 0.73 | 0.35 | 0.11 | .913 | 1.04 | 3.96 | |
| Age | 0.27 | -0.16 | 0.70 | 0.22 | 1.24 | .216 | 1.31 | 30.99 | |
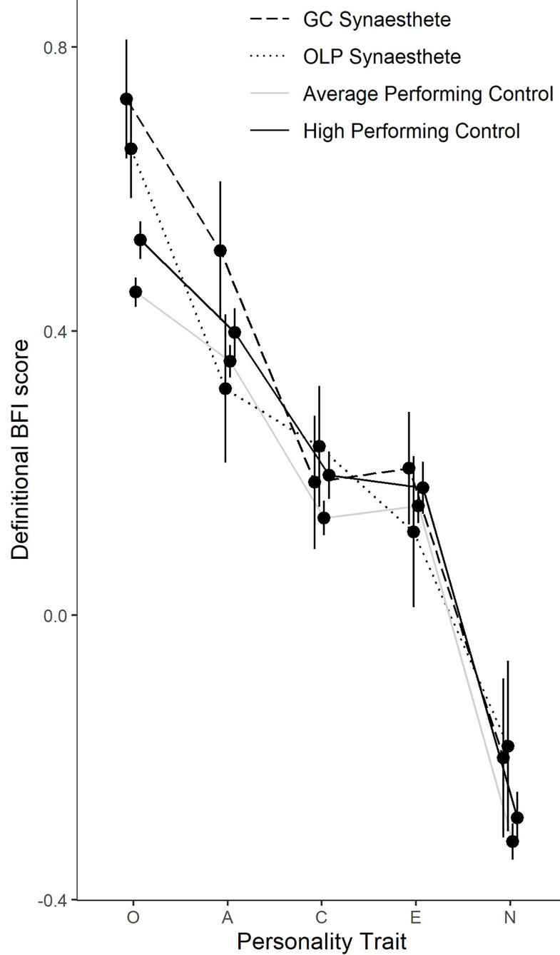
Our data is summarized in Figure 1, which shows means scores for each group, for each of the five personality factors. The graph demonstrates that both types of synaesthete have higher Openness traits than controls.
Figure 1Means scores for each of the five personality factors in the (child-reported) Definitional BFI-44-C questionnaire, where O stands for Openness, A for Agreeableness, C for Conscientiousness, E for Extraversion and N for Neuroticism. Error bars show standard error of the mean. Note that dotted lines are synaesthetes and solid lines are controls.
We next examined scores from our parent-rated questionnaire, based on 11 grapheme-colour synaesthetes, 16 OLP synaesthetes, 153 average-performing controls, and 114 high-performing controls. We began as before, by setting our reference group to average-performing controls, and again found evidence of a link between Openness and synaesthesia (Table 6) – but this time only grapheme-colour synaesthesia. Higher Openness was significantly associated with being a grapheme-colour synaesthete, where a one unit increase in Openness scores gave an 8.18 increase (718%) in the relative odds of being synaesthetic compared to an average-performing control. We found a similar effect when setting our reference to high-performing controls (Table 4 ). Again, an increase in Openness was associated with a significant increase in the relative odds of being a grapheme-colour synaesthete compared to a high-performing control (9.68 increase in odds or 868%). Parent-reports did not show the significant Openness link found earlier in child-reports for OLP synaesthetes, despite elevated odds at 129% in comparison to average-performing controls, and 170% in comparison to high-performing controls.
| Group | Term | Co-efficient | Lower CI (Co-efficient) | Upper CI (Co-efficient) | SE | Wald z | p-value | Odds Ratio | % Change in Odds |
|---|---|---|---|---|---|---|---|---|---|
| Reference | |||||||||
| Average-performing Controls | |||||||||
| High-performing controls | Intercept | 0.12 | -1.37 | 1.61 | 0.76 | 0.16 | .874 | 1.12 | 12.85 |
| Neuroticism | 0.07 | -0.24 | 0.38 | 0.16 | 0.43 | .699 | 1.07 | 7.02 | |
| Openness | 0.37 | -0.06 | 0.81 | 0.22 | 1.68 | .094 | 1.45 | 45.57 | |
| Agreeableness | -0.06 | -0.50 | 0.38 | 0.22 | -0.26 | .792 | 0.94 | -5.71 | |
| Conscientiousness | 0.20 | -0.21 | 0.61 | 0.21 | 0.97 | .331 | 1.22 | 22.46 | |
| Extraversion | 0.01 | -0.34 | 0.36 | 0.18 | 0.05 | .960 | 1.01 | 0.88 | |
| Age | -0.13 | -0.31 | 0.05 | 0.09 | -1.45 | .146 | 0.88 | -12.20 | |
| Grapheme-colour Synaesthete | Intercept | -5.33 | -9.30 | -1.35 | 2.03 | -2.63 | .009 | 0.00 | -99.51 |
| Neuroticism | 0.18 | -0.57 | 0.92 | 0.38 | 0.46 | .645 | 1.19 | 19.16 | |
| Openness | 1.73 | 0.45 | 3.00 | 0.65 | 2.66 | .0081 | 5.63 | 462.68 | |
| Agreeableness | 0.61 | -0.51 | 1.73 | 0.57 | 1.06 | .288 | 1.84 | 83.83 | |
| Conscientiousness | -0.37 | -1.39 | 0.66 | 0.52 | -0.70 | .485 | 0.69 | -30.59 | |
| Extraversion | -0.29 | -1.18 | 0.61 | 0.46 | -0.63 | .530 | 0.75 | -24.92 | |
| Age | 0.15 | -0.30 | 0.59 | 0.23 | 0.64 | .522 | 1.16 | 15.72 | |
| OLP synaesthete | Intercept | -3.31 | -6.97 | 0.35 | 1.87 | -1.77 | .076 | 0.04 | -96.35 |
| Neuroticism | 0.20 | -0.55 | 0.94 | 0.38 | 0.52 | .602 | 1.22 | 21.94 | |
| Openness | 1.44 | 0.28 | 2.59 | 0.59 | 2.44 | .0151 | 4.22 | 321.62 | |
| Agreeableness | -0.80 | -1.80 | 0.20 | 0.51 | -1.57 | .116 | 0.45 | -55.18 | |
| Conscientiousness | 0.72 | -0.25 | 1.70 | 0.50 | 1.45 | .146 | 2.06 | 106.24 | |
| Extraversion | -0.37 | -1.22 | 0.48 | 0.43 | -0.86 | .390 | 0.69 | -31.06 | |
| Age | -0.01 | -0.44 | 0.41 | 0.22 | -0.06 | .955 | 0.99 | -1.22 | |
| Group | Term | Co-efficient | Lower CI Co-efficient | Upper CI Co-efficient | SE | Wald z | p-value | Odds Ratio | % Change in Odds |
|---|---|---|---|---|---|---|---|---|---|
| Reference | |||||||||
| Average-performing Controls | |||||||||
| High-performing controls | Intercept | 1.25 | -2.27 | 4.77 | 1.80 | 0.70 | .487 | 3.49 | 249.12 |
| Neuroticism | -0.02 | -0.37 | 0.33 | 0.18 | -0.09 | .924 | 0.98 | -1.67 | |
| Openness | -0.17 | -0.70 | 0.35 | 0.27 | -0.63 | .529 | 0.85 | -15.45 | |
| Agreeableness | -0.19 | -0.58 | 0.21 | 0.20 | -0.92 | .358 | 0.83 | -16.93 | |
| Conscientiousness | 0.38 | -0.01 | 0.76 | 0.20 | 1.90 | .057 | 1.46 | 45.58 | |
| Extraversion | -0.23 | -0.57 | 0.11 | 0.17 | -1.31 | .129 | 0.80 | -20.48 | |
| Age | -0.05 | -0.26 | 0.16 | 0.11 | -0.45 | .656 | 0.95 | -4.71 | |
| Grapheme-colour Synaesthete | Intercept | -6.67 | -16.95 | 3.62 | 5.25 | -1.27 | .204 | 0.00 | -99.87 |
| Neuroticism | -0.45 | -1.31 | 0.41 | 0.44 | -1.02 | .307 | 0.64 | -36.11 | |
| Openness | 2.10 | 0.21 | 3.99 | 0.96 | 2.18 | .0291 | 8.18 | 718.49 | |
| Agreeableness | -0.24 | -1.23 | 0.74 | 0.50 | -0.48 | .632 | 0.79 | -21.40 | |
| Conscientiousness | 0.33 | -0.62 | 1.28 | 0.48 | 0.68 | .495 | 1.39 | 39.08 | |
| Extraversion | -1.14 | -1.96 | -0.32 | 0.42 | -2.74 | .0061 | 0.32 | -68.08 | |
| Age | 0.03 | -0.50 | 0.57 | 0.27 | 0.13 | .898 | 1.04 | 3.55 | |
| OLP synaesthete | Intercept | -8.11 | -16.22 | 0.03 | 4.15 | -1.95 | .051 | 0.00 | -99.97 |
| Neuroticism | 0.18 | -0.53 | 0.90 | 0.37 | 0.50 | .617 | 1.20 | 20.06 | |
| Openness | 0.83 | -0.44 | 2.10 | 0.65 | 1.28 | .201 | 2.29 | 128.62 | |
| Agreeableness | -0.70 | -1.51 | 0.11 | 0.41 | -1.69 | .091 | 0.50 | -50.20 | |
| Conscientiousness | 0.99 | 0.11 | 1.88 | 0.45 | 2.21 | .0271 | 2.70 | 170.40 | |
| Extraversion | -0.19 | -0.89 | 0.51 | 0.36 | -0.53 | .593 | 0.83 | -17.33 | |
| Age | 0.22 | -0.20 | 0.65 | 0.22 | 1.02 | .307 | 1.25 | 24.82 | |
Our parent-rated data showed additional effects beyond those in the child-rated questionnaire, for two further traits. Grapheme-colour synaesthetes showed significantly lower Extraversion than average-performing controls, with a 68% reduction in odds of being synaesthetic for each unit of Extraversion (Table 6). Grapheme-colour synaesthetes also showed lower Extraversion than high-performing controls (Table 4.: when we set our reference as high-performing controls, grapheme-colour synaesthetes showed a 60% reduction in the odds of being synaesthetic for each unit increase in Extraversion). Finally, our parent-rated data showed that OLP synaesthetes were associated with higher Conscientiousness compared to average-performing controls (2.70 increase in odds or 170% change; Table 6 below) but not compared to high-performing controls (Table 4).
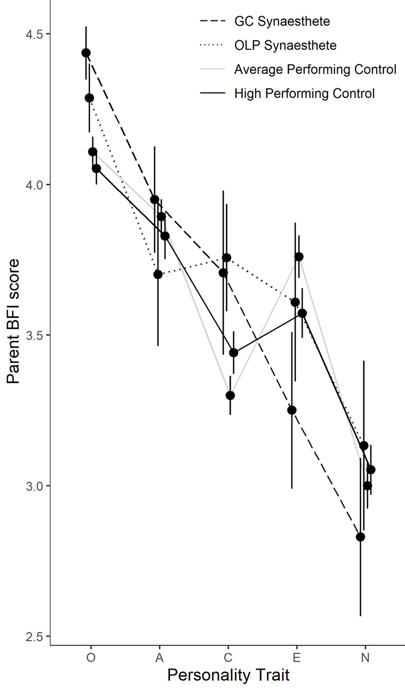
Our data is summarized in Figure 2, which shows mean scores for each group, in each of the five personality factors. The graph demonstrates that grapheme-colour synaesthetes have higher Openness and lower Extraversion than both types of control. The higher Openness in OLP synaesthetes does not reach significance, although they are higher in Conscientiousness (at least compared to average-performing controls).
Figure 2Means scores for each of the five personality factors in the (parent-reported) BFI-44-parent questionnaire, where O stands for Openness, A for Agreeableness, C for Conscientiousness, E for Extraversion and N for Neuroticism. Error bars show standard error of the mean. Note that dotted lines are synaesthetes and solid lines are controls.
In this study we investigated whether child synaesthetes show a personality profile that sets them aside from their peers. We had three main aims with this research: firstly, to extend previous personality findings to a group of synaesthetes who were randomly sampled and verified. Secondly, to extend previous personality findings to children, during a period in development when synaesthesia is still emerging. Thirdly, we aimed to compare two different common subtypes of synaesthesia (grapheme-colour synaesthesia and OLP synaesthesia). We also included two types of non-synaesthete controls high-performing controls (who can invent and recall synaesthesia-like associations in the short-term, but are not synaesthetes), and average-performing controls (who have average performance in this domain). These two groups allow us to estimate whether differences in the personalities of synaesthetes might somehow relate to superior cognitive profiles (in which case synaesthetes and high-performing controls may have scored similarly), or whether they are tied to synaesthesia itself (in which case synaesthetes and high memories controls would score differently).
Our principal finding was that synaesthesia, regardless of subtype, was associated with higher Openness, supporting the prediction that different variants of synaesthesia may share a unified personality profile. However, we also found type-dependent traits: grapheme-colour synaesthetes showed lower Extraversion compared to average and high-performing controls, while OLP synaesthetes showed higher Conscientiousness compared to average-performing controls. We discuss these findings in turn below.
Our finding that synaesthetes show higher Openness replicated important previous research on adult synaesthetes (1–3). All three earlier studies had methodological differences to our own, in which they had recruited synaesthetes and controls differently to each other, or mentioned synaesthesia during recruitment, or they had not measured synaesthesia objectively. However, our results suggest their findings of high Openness were not due to methodological issues, since we replicate this here with an unbiased sample of verified synaesthetes. We identified synaesthetes by objective measures, and by screening virtually the entire student bodies of 22 primary schools with almost no opt-outs (1%). Given this confidence, we might now ask why Openness is a trait found in synaesthesia, for both children and adults.
Openness is principally categorised by two main attributes; intelligence and creativity (17). Since our synaesthetes scored higher in Openness compared to even high-performing non-synaesthetes, our finding is unlikely to be linked to intelligence alone. And indeed, there is independent evidence that both intelligence and creativity are elevated within synaesthesia. Synaesthetes not only score highly in intelligence-linked domains such as memory (10), but also partake more often in creative activities and score higher in certain creativity tasks (19, 20). The fact that we have found synaesthesia-linked differences in Openness stemming back into childhood argues against a model in which this trait develops over time by repeated exposure to synaesthetic sensations (e.g., repeatedly seeing colours enticing a synaesthete to paint; see (26)). The youngest children in our study are still in the process of developing their synaesthesia (see (38)) so would have had only nascent exposure to what will become lifelong associations. This suggests therefore, that other factors may be dictating personality profiles, and we return to this question further below, after first reviewing our other key findings.
We also found two additional traits linked to synaesthesia, but each was tied to one particular variant of synaesthesia. Within parent-reported personality, grapheme-colour synaesthetes showed lower Extraversion. This effect has not been found in any of the three previous studies of grapheme-colour synaesthesia in adults (1–3); though not all tested grapheme-colour synaesthetes in isolation). Importantly however, their earlier recruitment methods may have masked this effect because they relied on some degree of self-motivation in their participants (whilst there was no self-motivation required within our own sample). Put simply, any person willing to reach out to scientists, or willing to leave their contact details for future study may be somewhat high on Extraversion already. This would be true of both synaesthetes and controls, meaning that matching recruitment across testing groups would not resolve this issue (i.e., selection is from people already a priori extraverted). An alternative explanation for our finding, however, is that we tested a group of children rather than adults, so it is possible that lower Extraversion pertains only to young synaesthetes. We have suggested this because one of the core elements of Extraversion is dominance, and this is known to increase from adolescence through to middle age (17). It might be possible, therefore, that young synaesthetes had lower Extraversion simply because they have not yet developed in dominance. However, the fact that synaesthetes, only, showed this trait, suggests it is associated with childhood synaesthesia per se, rather than simply with childhood.
We additionally found higher Conscientiousness from parent-reports, comparing OLP synaesthetes to average-performing controls. This OLP-linked finding conflicts with Rouw and Scholte (3), who found decreased Conscientiousness in their group of mixed synaesthetes. However, we noted earlier that Rouw and Scholte (3) recognised synaesthetes by self-declaration alone, and that a suprisingly high number of self-delcared ‘synaesthetes’ are not synaesthetes at all. Both inattention and malingering are some of the possible reasons to incorrectly self-declare synaesthesia, and both of these traits are linked with low Conscientiousness (39). A similar argument may explain why Rouw and Scholte found their self-declared synaesthetes to be high in Neuroticism, while our sample were not. Neuroticism is a trait linked with hypochondria and pathologizing (25) so might reasonably be high in a group of people falsely claiming they have a rare neurodevelopmental condition. Nonetheless, it is also possible that our differences to Rouw and Scholte (3) speak to age-differences in our samples: higher Neuroticism may evolve as synaesthetes age perhaps as they recognise their differences, and/ or in parallel with other age-related increases in Neuroticism; (40). However, the absence of high Neuroticism or low Conscientiousness in any other adult study of synaesthetes (e.g., (2)) leads us to tentatively assume these effects may be related to self-declaration of synaesthesia and its known links to false-reporting.
Importantly, we found here that Conscientiousness was higher than in average-performing controls not just for OLP synaesthetes, but potentially also for high-performing non-synaesthetes. (The comparison between high- and average-performing controls just missed significance at p = .057, and there was no difference between high-performing controls and OLP synaesthetes.) This is perhaps unsurprising given that some degree of Conscientiousness is required to perform well in our diagnostic tests without synaesthesia. Specifically, many high-performing controls will have achieved their high OLP test-scores by applying strategies, or by trying hard to remember letter-face associations they gave earlier in testing – both signs of high Conscientiousness. However, it is important to acknowledge a possible limitation in our study. Given the link between Conscientiousness and performing well in our diagnostic test (i.e., by both OLP synaesthetes and high-performing non-synaesthetes), we tentatively suggest that Conscientiousness in synaesthetes may be a task-dependent confound, and we therefore take a conservative approach in giving this finding less weight than our other significant results (of higher Openness and lower Extraversion).
Finally, unlike Banissy et al. (1) we found no indication that grapheme-colour synaesthetes were lower in Agreeableness. If low Agreeableness really were a trait tied to synaesthesia, this could logically arise as synaesthetes come to learn that they are different from their peers (i.e., leading to isolation and thereby low Agreeableness). Finding no similar effect in child synaesthetes is certainly consistent with this theory because any personality traits arising from exposure to synaesthesia would logically be limited in younger children (who have had less exposure). However, Banissy et al.’s Agreeableness finding was not replicated in the adult samples of either Chun and Hupé (2) nor Rouw and Scholte (3) although these latter did not focus solely on grapheme-colour synaesthesia. We simply note, therefore, that low Agreeableness has not been linked to grapheme-colour synaesthesia in children, nor has it been linked to synaesthesia more broadly in two out of three adult studies.
We end by considering the types of mechanisms that might lead to the personality profile we have identified here. One possible mechanism is via shared brain regions implicated in both personality and synaesthesia. It is interesting to note that both Openness to Experience and Extraversion (i.e., the key traits found here) share similar neurological underpinnings (41). Both have been linked to networks that account for differences in sensitivity to reward (known as The Behavioural Approach System) and both traits are associated with overlapping brain activation in temporal and parietal regions, amongst others (see (41) for review). Additionally, both Openness and Extraversion have been linked to functional brain activation in similar areas to grapheme-colour synaesthesia (e.g., insula and dorsal prefrontal cortex; (41, 42). And there is similar overlap in structural terms: both Extraversion and grapheme-colour synaesthesia have been linked to cortical differences in volume and surface area in the fusiform gyrus and superior temporal gyrus (42, 43). Additionally, both Openness and grapheme-colour synaesthesia have been linked to differences in cortical thickness and surface area of the anterior cingulate gyrus, inferior parietal cortex and lateral occipital gyrus (42, 43). Shared regions are therefore important for both synaesthesia and Openness/Extraversion, suggesting that personality differences may emerge from these shared neurological roots. Of course, we must acknowledge the possible circularity in this account. Regions associated with synaesthesia (i.e., regions found when scanning synaesthetes) may be nothing more than personality differences themselves. This is especially true for structural imaging studies, which do not elicit synaesthesia during scanning, and might therefore have highlighting differences between synaesthetes and controls which were personality determined.
In conclusion, we have tested a large sample of child synaesthetes, avoiding recruitment bias and other testing confounds as far as was possible. We have found that child synaesthetes do indeed have personality differences compared to their peers. We have found that children with either grapheme-colour synaesthesia or OLP synaesthesia are higher than their peers in Openness to Experience (replicating previous findings in adult synaesthetes). We have also found that, compared to both types of control, child grapheme-colour synaesthetes are lower in Extraversion, while compared to average-performing controls child OLP synaesthetes are higher in Conscientiousness (although we conservatively link this latter with the possibility of task demands). With respect to previous findings shown in adult synaesthetes but not found here, we point to one of two interpretations: aging effects (perhaps for low Agreeableness and/or high Neuroticism), or methodological issues in earlier studies (perhaps for high Neuroticism and/ or low Conscientiousness). Finally, we note that differences might also arise from random variability in relatively small sample sizes, given the rareness of this fascinating condition.
Authors received funding from the European Research Council under the European Union's Seventh Framework Programme (FP/2007-2013) / ERC Grant Agreement no. (617678). We are grateful to Juliet Wilkes, Olivia Casey-Haworth, Monica Boutros, Dermot Crowley and Molly Berenhaus for their help with data collection and to Mira Kaut for help with data entry.


