- Academic Editor
-
-
-
†These authors contributed equally.
Pleural effusion (PE) commonly occurs in cardiac surgery patients, often requiring tube drainage. This study aimed to investigate associations between PE drainage trajectories and clinical outcomes in patients undergoing cardiac surgery.
Patients who underwent cardiac surgery and subsequent tube drainage during hospitalization in the intensive care unit, due to substantial PE, were enrolled. PE drainage volumes were recorded daily. The relationships between PE drainage and poor outcome or mortality risks were examined using logistic regression analysis. Latent class growth analysis (LCGA) was used to classify PE trajectories, and the characteristics of each latent class were compared.
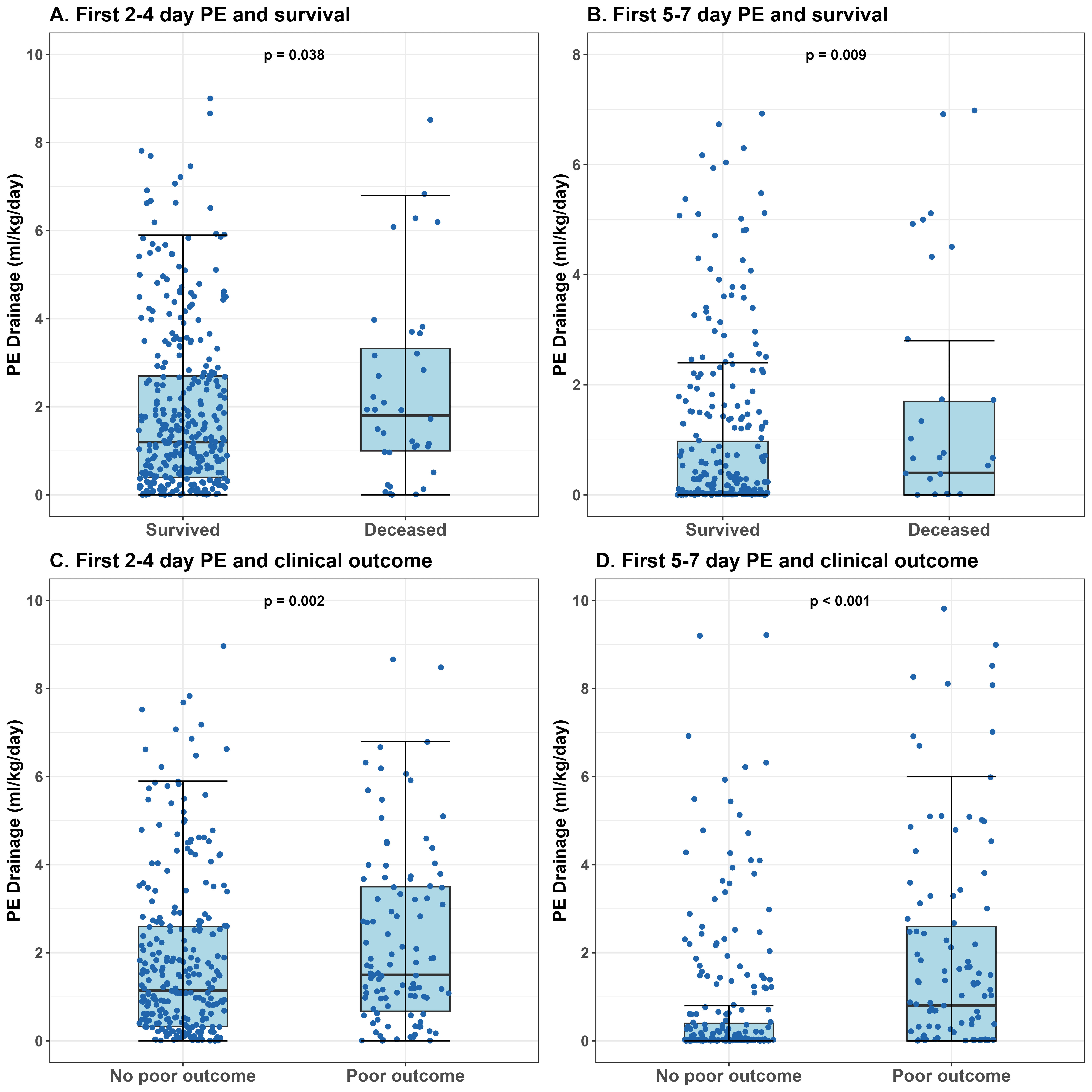
In total, 386 patients were enrolled over 3 years, of whom 113 (29.3%) developed poor outcomes. These patients had significantly higher average PE drainage volumes on days 2–4 (1.7 vs. 1.2 mL/kg/day; p = 0.002) and days 5–7 (0.9 vs. 0 mL/kg/day; p < 0.001). Average PE drainage volumes during the first 2–4 and 5–7 days were associated with poor outcomes (odds ratio (OR) = 1.10 (95% confidence interval (CI): 1.02–1.20); p = 0.014 and 1.19 (95% CI: 1.08–1.32); p < 0.001, respectively). LCGA identified three distinct PE drainage trajectory classes: persistently high (Class 1, n = 39), gradually declining from high to low (Class 2, n = 128), and persistently low (Class 3, n = 219). Among these, Class 1 had the highest mortality and poor outcome risks.
A trend in PE formation demonstrated a strong correlation with mortality and poor outcomes in patients who underwent cardiac surgery. Patients with persistently high PE drainage volumes required close monitoring and attention.


