1 Department of Cardiology, Zhongda Hospital, School of Medicine, Southeast University, 210009 Nanjing, Jiangsu, China
2 Department of Cardiology, Lianshui People’s Hospital, 223400 Huaian, Jiangsu, China
†These authors contributed equally.
Abstract
Background: Dynamin-related protein 1 (Drp1) has been demonstrated as a
crucial role in mediating the programed cell death and cardiac metabolism through
its regulatory of mitophagy in animal studies. However, the clinical values of
Drp1 for human cardiac disease remain unknown. This study is aimed to evaluate
the diagnostic and prognostic values of serum Drp1 in these patients with heart
failure (HF). Methods: The enzyme linked immunosorbent assay (ELISA) was
used for measuring serum Drp1 concentrations in 85 cases of HF with preserved
ejection fraction (HFpEF) and 86 cases of HF with reduced ejection fraction
(HFrEF). The diagnostic value of Drp1 was evaluated using the receiver operating
characteristic (ROC) analysis. The composite endpoint was consisted of cardiac
death and rehospitalization for HF, and the association between Drp1 and clinical
outcomes were further determined. Results: Serum Drp1 concentrations
were much higher in HFpEF than that in HFrEF (4.2
Keywords
- dynamin-related protein 1
- heart failure
- mitochondria
- diagnosis
- prognosis
- mitophagy
Heart failure (HF) is a manifestation of cardiac dysfunction secondary to abnormalities in cardiac structure, which progress to a state of decompensation and then fail to keep up with the metabolic needs of the body [1]. With the growing numbers of elderly populations and increased incidence of risk factors [e.g., coronary artery disease (CAD), hypertension, diabetes mellitus (DM), obesity, and smoking], the prevalence of HF is rapidly rising, leading to increasing medical and socioeconomic burdens world-wide [2, 3]. A prior report showed a 12-month mortality rate of 16.5% for HF and the absolute mortality rate within 5 years after a diagnosis of HF may reach approximately 50% [4]. HF has been classified into different phenotypes to help guide the clinical management for this disease. The survival and hospitalization rate of HF with reduced ejection fraction (HFrEF) has benefited from the development of medical therapies and cardiac assist equipment [5]. Once HF with preserved ejection fraction (HFpEF) occurs, the typical dyspnea symptoms manifested in HFrEF will not appear because this phenotype of HF is characterized by restricted filling and disturbed relaxation of the myocardium whereas the systolic function is close to normal. The risk of this specific subset of HF is not fully understood [6]. Hence, the overall prognosis for HF still remains unsatisfactory. There have been numerous biomarkers for the diagnosis of HF [7], but the pathophysiology regarding the progression and evolution of this disease still needs to be further elucidated. Therefore, it is important to investigate new potential diagnostic and therapeutic biomarkers for these patients, especially for those with HFpEF.
The heart is the most metabolically active organ in the human body, and it accounts for approximately 8% of daily ATP consumption [8]. Mitochondria act as the powerhouse of the cells and are responsible for normal cell metabolism, protecting cells against damage from reactive oxygen species (ROS) [9]. Dynamin-related protein 1 (Drp1) belongs to the dynamin family of GTP-binding proteins. They often translocate from the cytoplasm to the mitochondria and then bind to their targets located in the outer mitochondrial membrane (OMM) to induce mitochondrial fission, thereby mediating mitophagy to affect programmed cell death and cell metabolism [10, 11, 12]. Drp1 can be expressed as multiple splice variants, which are highly expressed in the human heart, skeletal muscle, brain, and kidney [13, 14]. Several studies have demonstrated the association between mitochondrial bioenergetic capacity and progression of HF, in which impaired mitochondrial energetics greatly contributed to the onset and progression of maladaptive cardiac hypertrophy [15, 16]. Therefore, there may be a potential association between Drp1 and HF. This study was undertaken to explore the role of serum Drp1 in HF patients, especially in those with HFpEF.
From September 2021 to April 2022, patients hospitalized at the Zhongda Hospital
(Nanjing, China) were consecutively enrolled in this prospective, single-center,
observational study according to the following inclusion criteria: (1) adult
patients (aged from 18 to 85 years) who were diagnosed with HF for at least 3
months, and (2) had good compliance with medical therapies. HF was diagnosed by
at least two experienced cardiologists. The criteria for the diagnosis of HF were
based on the presence of New York Heart Association (NYHA) classes II–IV
symptoms, combined with abnormalities in cardiac structure on echocardiography
and plasma levels of N-terminal pro–B-type natriuretic peptide (NT-proBNP) of at
least 300 pg per milliliter. Echocardiography was performed the next day after
admission. These patients were further divided based on echocardiography into the
HFpEF (EF
Peripheral fasting blood (3–5 mL) was collected from all participants the next morning after admission. The blood samples were temporarily maintained at 4 °C and then centrifuged at 3000 r/min for 30 minutes. Next, the supernatant was collected into 1.5-mL EP tubes and stored at –80 °C until further measurements were made. Enzyme-linked immunosorbent assay (ELISA) kits (EH14381, FineTest, Wuhan, China) were used to detect the serum Drp1 concentrations in accordance with the manufacturer’s instructions, and all ELISA data were analyzed in relation to the standard curve.
Clinical follow-up was conducted using telephone contact or clinical office visits at 1 month and 6 months after discharge. The composite endpoint of this study was cardiac death and rehospitalization for HF. An independent cardiologist assessed and recorded the relevant clinical events. Cardiac death refers to a death in the absence of non-cardiac causes confirmed by clinical or autopsy findings. To identify rehospitalization for HF, the electronic medical records of Zhongda Hospital were carefully screened, and patients or family members were interviewed if they were readmitted to other hospitals.
All statistical analyses were performed using SPSS Statistics software, version
23.0 (SPSS Inc., Chicago, IL, USA). The Shapiro-Wilk test was first performed to
determine the normality of continuous data. Normally distributed variables were
recorded as mean
A total of 171 patients were enrolled from the Zhongda Hospital, including 85
patients with HFpEF and 86 patients with HFrEF. The majority of participants
finished the 6-month follow-up and only 8.2% of patients were lost to follow up
(Fig. 1). The baseline characteristics of these patients are summarized in Table 1. The etiology of HF was mainly from ischemic heart disease (IHD, 74.3%),
especially secondary to a prior MI (53.2%), which was also the leading cause of
HFrEF (61.6%). Compared to patients with HFrEF, patients with HFpEF were more
likely to be females, older, and had an increased incidence of atrial
fibrillation (AF) and hypertension. Plasma NT-proBNP levels were significantly
higher in patients with HFrEF than in patients with HFpEF (3135.0 vs. 1290.0,
p
Fig. 1.A flow chart of the patients in this study.
| Variables | Total (n = 171) | HFpEF (n = 85) | HFrEF (n = 86) | p-value | |
|---|---|---|---|---|---|
| Demographics | |||||
| Male, n (%) | 103 (60.2) | 41 (48.2) | 62 (72.1) | 0.002 | |
| Age, years | 70.1 |
72.1 |
68.1 |
0.021 | |
| BMI, kg/m |
25.8 |
26.0 |
25.7 |
0.690 | |
| Heart rate, bpm | 84.1 |
84.3 |
84.0 |
0.942 | |
| SBP, mmHg | 129.9 |
133.6 |
126.2 |
0.025 | |
| DBP, mmHg | 76.9 |
77.5 |
76.4 |
0.622 | |
| Atrial fibrillation, n (%) | 67 (39.2) | 43 (50.6) | 24 (27.9) | 0.003 | |
| Hypertension, n (%) | 133 (77.8) | 74 (87.1) | 59 (68.6) | 0.005 | |
| Diabetes, n (%) | 69 (40.4) | 36 (42.4) | 33 (38.4) | 0.642 | |
| Smoking, n (%) | 44 (25.7) | 18 (21.2) | 26 (30.2) | 0.221 | |
| Stroke, n (%) | 63 (36.8) | 34 (40.0) | 29 (33.7) | 0.430 | |
| Etiology | |||||
| Ischemic heart disease, n (%) | 127 (74.3) | 64 (75.3) | 63 (73.3) | 0.861 | |
| Prior MI, n (%) | 91 (53.2) | 38 (44.7) | 53 (61.6) | 0.032 | |
| Cardiomyopathy, n (%) | 19 (11.7) | 3 (3.5) | 16 (18.6) | 0.003 | |
| Other, n (%) | 25 (14.6) | 18 (21.2) | 7 (8.1) | 0.018 | |
| Laboratory results | |||||
| WBC, ×10 |
7.3 |
7.5 |
7.1 |
0.522 | |
| Hb, g/L | 129.2 |
126.7 |
131.7 |
0.133 | |
| Plt, ×10 |
198.4 |
203.8 |
193.1 |
0.378 | |
| HbA1C, % | 6.9 |
6.8 |
7.0 |
0.49 | |
| Total protein, g/L | 62.6 |
62.9 |
62.3 |
0.595 | |
| Albumin, g/L | 37.6 |
37.5 |
37.8 |
0.710 | |
| FPG, mmol/L | 7.2 |
7.1 |
7.3 |
0.752 | |
| ALT, U/L | 26.9 |
28.1 |
25.8 |
0.560 | |
| Urea nitrogen, mmol/L | 7.7 |
7.7 |
7.7 |
0.875 | |
| eGFR, mL/(min × 1.73 m |
73.5 |
70.5 |
76.6 |
0.065 | |
| Total-cholesterol, mmol/L | 3.7 |
3.8 |
3.6 |
0.508 | |
| Triglycerides, mmol/L | 1.3 |
1.3 |
1.2 |
0.513 | |
| LDL-C, mmol/L | 2.1 |
2.1 |
2.1 |
0.798 | |
| HDL-C, mmol/L | 1.1 |
1.2 |
1.1 |
0.077 | |
| Uric acid, umol/L | 419.7 |
409.8 |
429.6 |
0.410 | |
| NT-proBNP, pg/mL |
1980.0 (322.0, 35,000.0) | 1290.0 (366.0, 35,000.0) | 3135.0 (322.0, 35,000.0) | ||
| Echocardiographic results | |||||
| EF, % | 49.7 |
62.7 |
36.9 |
||
| LAID, cm | 4.6 |
4.6 |
4.7 |
0.668 | |
| LVID, cm | 5.3 |
4.7 |
5.8 |
||
| RAID, cm | 4.6 |
4.7 |
4.5 |
0.454 | |
| RVID, cm | 2.5 |
2.4 |
2.5 |
0.065 | |
| NYHA classification | |||||
| II | 132 (77.2) | 74 (87.1) | 58 (67.4) | 0.003 | |
| III | 33 (19.3) | 11 (12.9) | 22 (25.6) | 0.052 | |
| IV | 6 (3.5) | 0 (0.0) | 6 (7.0) | 0.029 | |
| DAPA, n (%) | 51 (29.8) | 24 (28.2) | 27 (31.4) | 0.739 | |
Values are mean
Abbreviations: ALT, alanine aminotransferase; BMI, body mass index; bpm, beats per minute; DAPA, dapagliflozin; DBP, diastolic blood pressure; Drp1, dynamin-related protein 1; eGFR, estimated glomerular filtration rate; EF, left ventricular ejection fraction; FPG, fasting plasma glucose; Hb, hemoglobin; HDL-C, high-density lipoprotein-cholesterol; HFrEF, heart failure with reduced ejection fraction; HFpEF, heart failure with preserved ejection fraction; LAID, internal diameters of left atrium; LDL-C, low-density lipoprotein-cholesterol; LVID, internal diameters of left ventricle; MI, myocardial infarction; n, number; NYHA, New York Heart Association; NT-proBNP, N-terminal pro–B-type natriuretic peptide; Plt, platelet; RAID, internal diameters of right atrium; RVID, internal diameters of right ventricle; SBP, systolic blood pressure; WBC, white blood cell count.
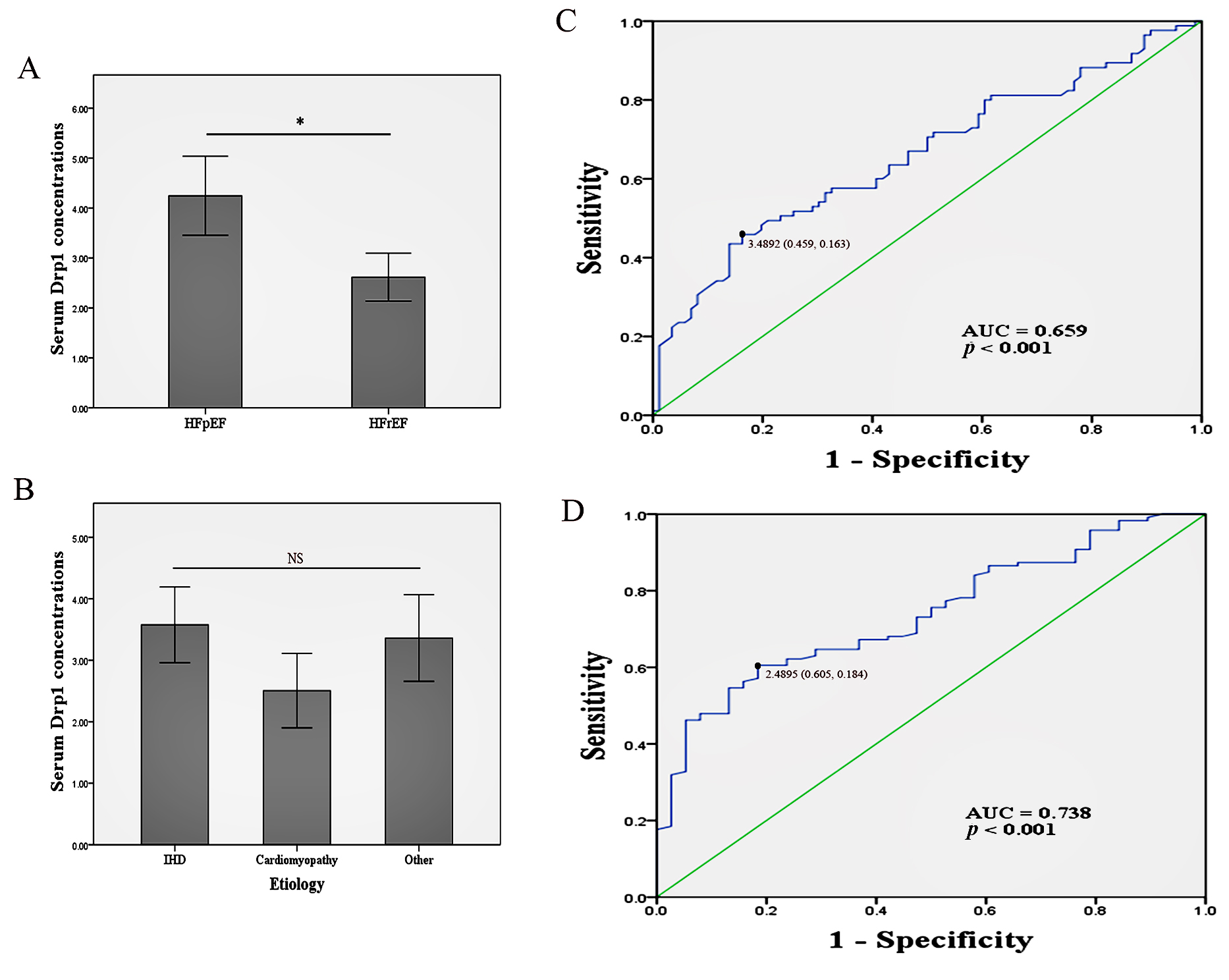
As shown in Fig. 2A, the serum Drp1 concentrations were significantly increased
in the HFpEF group (4.2
Fig. 2.Column graphs and the receiver operating characteristic (ROC)
curves. (A) Quantifications of serum Drp1 concentrations in patients of heart
failure with preserved ejection fraction (HFpEF) and heart failure with reduced
ejection fraction (HFrEF), respectively. *p
Seventy-seven patients with HFpEF and 80 patients with HFrEF completed the
6-month follow-up, and their clinical outcomes were collected for further
analyses. Among these patients, none died during hospitalization, and 7 patients
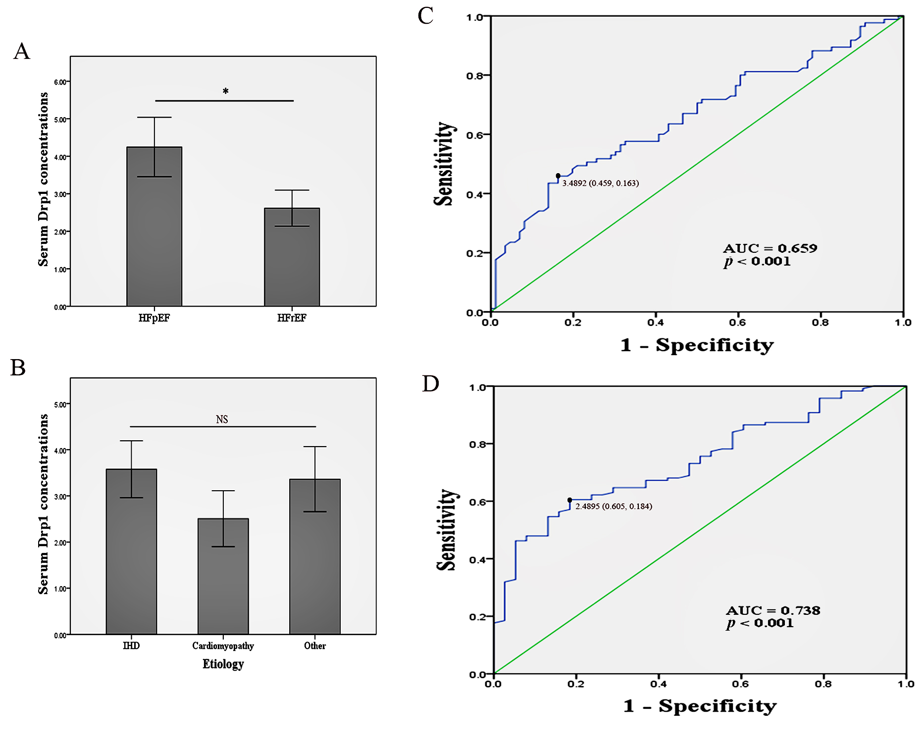
died after discharge (Table 2). According to the ROC curve analysis (Fig. 2D), the optimal
cut-off value of serum Drp1 for freedom from the composite endpoint was 2.5
ng/mL, with a sensitivity of 60.5% and specificity of 81.6%. The AUC was 0.738
(95% CI: 0.656–0.820, p
| 1-month, n (%) | 6-month, n (%) | |||||
|---|---|---|---|---|---|---|
| Drp1 |
Drp1 |
p-value | Drp1 |
Drp1 |
p-value | |
| Composite endpoint | 15 (19.2) | 2 (2.5) | 0.001 | 31 (39.7) | 7 (8.9) | |
| Rehospitalization for HF | 14 (17.9) | 2 (2.5) | 0.001 | 30 (38.5) | 6 (7.6) | |
| Cardia death | 2 (2.6) | 0 (0.0) | 0.245 | 5 (6.4) | 1 (1.3) | 0.117 |
| All-cause death | 2 (2.6) | 0 (0.0) | 0.245 | 5 (6.4) | 2 (2.5) | 0.276 |
Abbreviations: Drp1, dynamin-related protein 1; HF, heart failure; MACEs, major adverse cardiac events; n, number.
Fig. 3.Survival curves and forest plots. (A,B) Kaplan-Meier curves for
the composite endpoint (A) and rehospitalization for HF (B) in the low Drp1 group
(Drp1
This observational study represents the first evaluation for the clinical values of serum Drp1. We found that serum Drp1 concentrations were much higher in HFpEF than in HFrEF (p = 0.001), and the ROC curve analysis indicated it could be a potential diagnostic biomarker for distinguishing the phenotype of HF (AUC = 0.659). When we combined the results of K-M survival analyses with the generated ROC curve of Drp1 for freedom from the composite endpoint, low serum concentrations of Drp1 (cut-off value = 2.5 ng/mL, AUC = 0.738) were found to be associated with a poor prognosis from HF. A low serum concentration of Drp1 was identified as an independent risk predictor for rehospitalization for HF (OR: 6.671, 95% CI: 2.166–20.540, p = 0.001), and led to a significantly increased risk of the composite endpoint. These findings suggested that low serum concentrations of Drp1 might serve as a biomarker for distinguishing HF phenotypes and the overall prognosis of HF, as well as providing a new potential therapeutic target for HF patients.
In adult cardiomyocytes, mitochondria account for about 30% of the total cell volume and produce vast amounts of ATP through oxidative phosphorylation to maintain contractile function [12]. HF commonly occurs with cardiac remodeling, in which there are significant molecular changes due to oxidative stress and myocyte loss through autophagy, including mitophagy, apoptosis, and fibrosis [17]. Thus, both the decrease in the number of contractile units and the damaged mitochondrial bioenergetic capacity in residual cardiomyocytes after myocardial injuries are directly linked with the progression of HF [18, 19]. The coordinated cycle of mitochondrial fission and fusion is known as mitochondrial dynamics, whose homeostasis has been demonstrated to have a critical role in maintaining cardiac structure and function [20, 21]. Drp1 is known as a crucial regulator of mitochondrial fission and is involved in mitophagy for degradation of depolarized mitochondria in the heart [22]. Parkin-dependent mitophagy is considered to be more critical for the maintenance of mitochondrial respiratory function in the absence of Drp1-dependent mitophagy [22]. In contrast, several other studies indicated that Parkin-dependent mitophagy would be hyper-activated in Drp1-deficient mouse hearts, which was thought to be detrimental to the heart because the downregulation of Drp1 induced constitutive recruitment of Parkin to the elongated mitochondria and increased degradation of healthy mitochondria [23, 24]. Based on the findings from these studies, Drp1 has been recognized as having an important role in affecting programmed cell death and cardiac metabolism through the mediation of mitophagy. Values of serum Drp1 may be an alternative way to determine myocardial damage compared to the more costly and invasive myocardial biopsy.
Our ROC curve analysis suggested that serum Drp1 can be a potential diagnostic
biomarker for distinguishing HFpEF from HFrEF (AUC = 0.659), with a sensitivity
of 45.9% and specificity of 83.7%. Currently, the diagnosis of HFpEF mainly
depends on echocardiography findings. In clinical practice, the most commonly
used biomarkers for the diagnosis of HF are plasma BNP or NT-proBNP levels,
showing a much higher sensitivity (BNP at a threshold of
ROC curves were also generated for Drp1 to assess its role in determining
freedom from the risk of the composite endpoint. The AUC was 0.738 (95% CI:
0.656–0.820, p
In our study, we found no significant difference in mortality between the low and high Drp1 groups. HF patients usually die from a sudden cause (commonly recognized as a malignant arrhythmia) or from multiple organ dysfunction caused by end-stage respiratory and circulatory failure [29, 30]. In our study, IHD was confirmed as the main cause of HF, and more than half of the patients suffered from a prior MI. However, the serum Drp1 concentrations showed no significance between these groups divided by different etiologies of HF, suggesting Drp1 can be used to predict the prognosis of HF.
Several limitations should be acknowledged in the current study. First, this is a single-center, observational study with a small sample size. Larger trials are warranted. Second, the potential regulation of oral agents on Drp1 could not be completely eliminated, especially with the use of Dapagliflozin (DAPA), which could regulate the expression level of Drp1 in the infarcted myocardium [27]. However, the baseline usage of DAPA showed no significant difference in this study. Third, longer follow-up is necessary for strengthening the association between serum Drp1 and the prognosis of HF. In addition, dynamic detection of Drp1 might help us better understand the variation of Drp1 along with changes in patient status. Finally, missing data of several inflammatory markers, including hypersensitive C-reactive protein and procalcitonin, also limited our ability to further explore their relevant effects on patient outcomes.
Our results indicated that serum Drp1 concentrations are significantly higher in patients with HFpEF versus those with HFrEF. It might serve as a good diagnostic marker for the distinction of HF phenotypes. A low serum concentration of Drp1 was identified as an independent risk predictor for poor clinical outcomes among these HF patients. In summary, serum Drp1 may serve as a meaningful biomarker to discriminate the diagnosis of HF phenotypes and the overall prognosis of HF, as well as become a potential therapeutic target for treating this disease.
All data generated or analyzed during this study are included in this published article.
GSM conceived the project and designed the study; ZGF, MYJ and WXW assessed for eligibility; ZGF, YX and WXW performed the ELISA; JL evaluated and recorded all the clinical events; ZGF, MYJ and YX constructed the maps. ZGF wrote the manuscript and GSM critically revised it. All authors contributed to data analysis, drafting and critically revising the paper. All authors read and approved the final manuscript. All authors have participated sufficiently in the work and agreed to be accountable for all aspects of the work.
The ethics committee of Zhongda Hospital approved the study protocol and informed consent (No. 2020ZDSYLL306-P01). All participants in the study provided written informed consent.
We are grateful to the staff in Biobank of Zhongda Hospital Affiliated to Southeast University for technical assistance.
The present study was supported by National Natural Science Foundation of China (granted number 82070295) and Jiangsu Provincial Key Medical Discipline (Laboratory ZDXKA2016023).
The authors declare no conflict of interest.
References
Publisher’s Note: IMR Press stays neutral with regard to jurisdictional claims in published maps and institutional affiliations.



