-
- Academic Editor
-
-
-
Neuromyelitis optica spectrum disorder (NMOSD) is a recurrent demyelinating neuroinflammatory disorder of the central nervous system. This study aimed to evaluate the neural conduction and sound information processing in individuals with NMOSD, through the analysis of auditory brainstem responses (ABRs) and cortical auditory evoked potentials (CAEPs).
Twenty-four individuals (9–21 years old) were distributed into two groups: the study group (SG), diagnosed with NMOSD, and the control group, healthy individuals. Their ABRs and CAEPs were evaluated, and the results were examined alongside data from cranial magnetic resonance imaging (MRI).
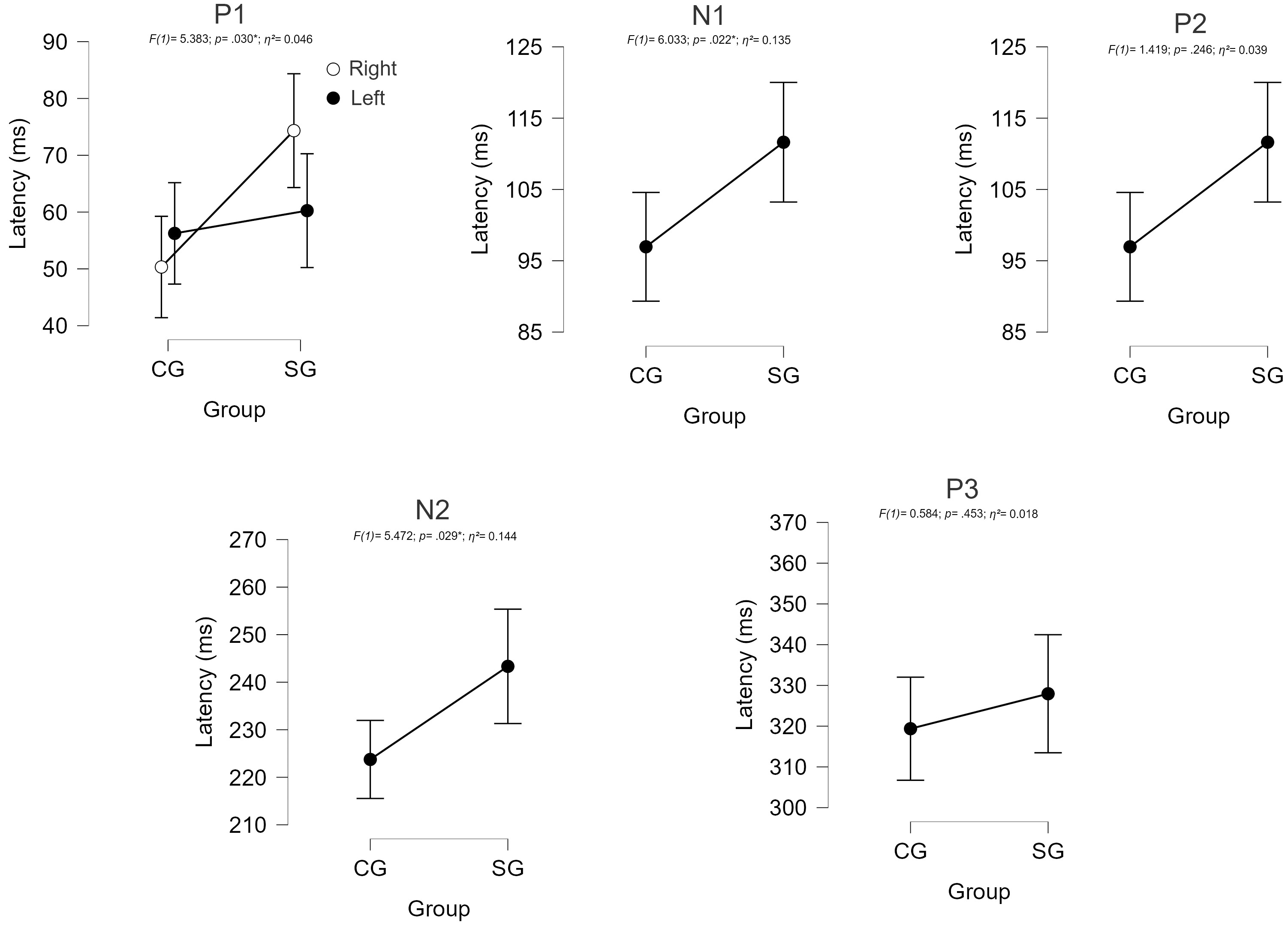
Abnormal ABRs were observed in 33% of the SG and increased I–III interpeak was the most prevalent finding. The CAEPs showed abnormalities in 58% of the SG, mainly to P1 latency. SG subjects presented longer P1, N1, and N2 latencies and lower N2–P3 amplitude. MRI showed alterations mostly in the pons, midbrain, and IV ventricle.
Alterations in neural conduction and sound information processing were observed in individuals with NMOSD when compared with their peers. Auditory evoked potentials are important instruments to identify central auditory dysfunction in this population as well as to monitor disease evolution.


