1 Department of Medical Physiology, Medical Research and Clinical Studies Institute, National Research Centre, Dokki, 12622 Giza, Egypt
2 Faculty of Veterinary Medicine, Cairo University, 12211 Giza, Egypt
Abstract
Background: Stress can lead to emotional and mental symptoms such as
anxiety, sadness, panic attacks, and depression. Malic acid was chosen due to
malic acid has the ability to improve antioxidant activity and improves liver
damage. This study evaluates malic acid anti-depressant activity in the
hypothalamus of stressed rats. Methods: Thirty-six male albino
rats were divided into 2 equal groups; Normal and chronic mild stress (CMS) rats.
Normal rats were divided into 3 equal groups; control, malic acid, and
venlafaxine drug groups: normal rats were administered orally with 1 mL of saline
solution, 250 mg/kg of malic acid, and 20 mg/kg of venlafaxine drug,
respectively. CMS rats were divided into 3 equal groups; CMS, CMS + malic acid,
and CMS + venlafaxine drug: CMS rats were administered orally with 1 mL of saline
solution, 250 mg/kg of malic acid, and 20 mg/kg of venlafaxine drug,
respectively. All the above-mentioned treatments were administered once a day by
oral gavage for 6 weeks. Results: The obtained results revealed that the
animal behavioral tests such as forced swimming test, tail suspension test,
sucrose preference test, and open-field test (center square entries test, center
square duration test, and distance travelled test), norepinephrine, dopamine,
serotonin,
Keywords
- stress
- antioxidants
- neurotransmitters
- inflammation
- histology
Changes in physiology, the nervous system, hormones, and behavior are all a result of stress. Continuous excessive stress led to obsessive brain damage and serious neurological malfunction [1]. Human memory and the brain are impacted by stress.
By interfering with biological hormones and proteins within the human body, it changes the brain and memory and thus leads to human neurological dysfunction [2].
Prolonged stress throughout adolescence increases the risk of developing neuropsychiatric disorders because it alters neuronal structure and behavior in all major brain regions [3]. The hypothalamus was selected for this study because it is a more precise target for stress or depression [4] due to its involvement in two main axes: (1) the hypothalamic-pituitary-adrenal (HPA) axis, which is a major factor in the neural/hormonal cycle that reacts to both internal and external stressors. Human mental and physical states are completely under the control of the HPA axis, and dysregulation of this axis has been linked to a number of mental and physical diseases [5]. (2) Stress or depression also inhibits the hypothalamic-pituitary thyroid (HPT) axis. Many interactions exist between the aminergic systems that play a role in stress or depression and the HPA- and HPT-axis [6]. Emotional and mental symptoms like anxiety or irritation, melancholy, panic attacks, and depression can be brought on by stress. Stress on an ongoing internal and external level leads to depression. Over 350 million people worldwide suffer from depression [7]. Depression is characterized by a decrease in brain neurotransmitter levels, an increase in the hypothalamic-pituitary-adrenal axis, elevated inflammatory markers, and changes in the gut flora [8].
The potential processes underlying the link between stress and depression have been the subject of numerous recent investigations. These research [9] demonstrated links between stress and depression, including those involving the immune system, the microbiota, hormones, and brain abnormalities. In the USA, depression affects adolescents and accounts for one-third of adolescent fatalities [10]. There are many animal models that mimic human depression, but the chronic mild stress (CMS) model is the most widely used model that replicates the main symptoms of human depression [11]. In this model, rats are exposed to multiple stressors, which alters their behavior and biochemistry by altering the chemistry, plasticity, expression, and function of their neurons, neuroreceptors, and neurotrophin [12].
Depression is a chronic illness that lasts for years; as a result, it requires
affordable and secure treatment. Given its high antioxidant activity, malic acid
was selected for this investigation from natural herbs, which are a viable source
in this regard [13]. In this regard, malic acid enhanced brain neural connection
function, reduced inflammation, improved amino acid metabolism, energy metabolism
and neurotransmitter metabolism, and decreased dopaminergic degeneration [14],
Malic acid is used to treat fibromyalgia [15], where it has a neuroprotective
role against the loss of glutamic acid decarboxylase activity, depletion of
This study aims to study the anti-depressant activity of malic acid through modifying animal behavior, neurotransmitters, oxidative stress, inflammation, sodium/potassium-ATPase activity, and histamine-N-methyl transferase (Hmnt) and tyrosine hydroxylase (TH) enzymes in the hypothalamus of CMS rats.
DL-malic acid (99% pure malic acid, 6915-15-7, Sisco Research Laboratories (SRL) Pvt. Ltd., New Delhi, India). Ethylene
glycol-bis(2-amino-ethylether)-N,N,N’,N’-tetraacetic acid (EGTA),
nicotinamide-adenine dinucleotide phosphate (NADPH), potassium phosphate
monobasic (KH
The animal house of the National Research Centre, Dokki, Giza, Egypt provided
this study by thirty-six male albino rats of Sprague Dawley strain (130
Thirty-six male albino rats were divided into 6 equal groups (6 rats/group) as follows: Control group: normal rats were administered orally with 1 mL of saline solution. Malic acid-treated group: normal rats were administered orally with 250 mg/kg of malic acid [27] dissolved in 1 mL distilled water. This dose increases the motor activity and excitatory processes in the sensory motor brain areas. This dose increases carbohydrate reserves and decreases oxygen consumption of the brain tissues [27]. Venlafaxine drug-treated group: normal rats were administered orally with 20 mg/kg of the venlafaxine drug [28] dissolved in 1 mL distilled water. CMS group: CMS animals were administered orally with 1 mL of saline solution. CMS + malic acid (250 mg/kg)-treated group: CMS rats were administered orally with malic acid (250 mg/kg of malic acid dissolved in 1 mL water). CMS + Venlafaxine drug (20 mg/kg)-treated group: CMS rats were administered orally with 20 mg/kg of Venlafaxine drug dissolved in 1 mL distilled water.
During 6 weeks, oral gavage was used to provide all of the aforementioned therapies once daily. All rats were observed throughout the entire study for any aberrant symptoms, such as rat hair loss, skin patches, convulsions, and a reduction of normal locomotors activity, as well as, any deaths.
The authors have already conducted this stress animal model [29, 30, 31]. According to a predetermined plan, the normal rats were exposed to 1 or 2 stressors everyday as follows: The first day involved forced swimming in hot water (45 °C for 5 minutes); the second day cage tilting and wet bedding; the third day animal shaking for 10 minutes; the fourth day nipping the tail for 1 minute; the fifth day involved forced swimming in cool (4 °C for 5 minutes); the sixth day food deprivation for 24 hours and overnight illumination; the seventh day water deprivation for 24 hours and all the above aforementioned stressors were applied once a week for 6 weeks, after which time all rats underwent the following tests: (1) sucrose preference test, (2) open-field test (which included the distance travelled test, the center square entries test, and the center square duration test), (3) tail suspension test, and (4) forced swimming test.
Fig. 1 could serve as a summary of the induction of mild chronic stress in rats.
Fig. 1.Chronic mild stress (CMS) induction. Summarize the program for chronic mild stress induction as follows: The first day involved forced swimming in hot water (45 °C for 5 minutes); the second day cage tilting and wet bedding; the third day animal shaking for 10 minutes; the fourth day nipping the tail for 1 minute; the fifth day involved forced swimming in cool (4 °C for 5 minutes); the sixth day food deprivation for 24 hours and overnight illumination; the seventh day water deprivation for 24 hours and all the above aforementioned stressors were applied once a week for 6 weeks.
The rats were inhaled a solution of diethyl ether as an anesthesia after the final dose of each treatment. The rats’ heads were detached, and then they were dissected. The tissue from the brain’s hypothalamus was taken and soaked in saline solution. This procedure followed Palkovits’ [32] instructions for isolating the hypothalamus. The entire hypothalamic tissue, which has 3 regions (the supraoptic, tuberal, and mammillary regions) was examined in the study.
The filter papers were used to dry this tissue. Two pieces of hypothalamic tissue were separated, and the first piece was dissolved in 2.5 mL of Tris buffer solution. Thereafter, for 10 minutes at room temperature, hypothalamus tissue was homogenized in an automated homogenizer. The supernatant, which was used to calculate the biochemical parameters, was removed from the tissue by centrifuging it for 15 minutes at –4 °C and 7000 rpm. The second portion of the tissue from the hypothalamus was used for histological analysis. The hypothalamus tissue was sufficient to conduct biochemical, molecular, and histological examinations despite the fact that the hypothalamus is a small tissue.
2.6.1.1 Sucrose Preference Test
The Strekalova and Steinbusch [33] technique was used for this test. In this technique, the rats were trained to absorb sucrose by being housed in cages with two sucrose bottles (1% w/v) for a period of 72 hours. One bottle was then swapped out for one that contained tap water. To determine the sucrose preference, the amount of water and sucrose that were consumed were both measured.
2.6.1.2 Forced Swimming Test
This test was located using the Zhang et al. [34] technique. We used a plastic cylinder that was 25 cm in diameter and 50 cm high, and we filled it with water that was 23–25 °C to a specific height (= 45 cm). For 5 minutes, every single rat was submerged in this cylinder. The rat was taken out of the water and allowed to dry. Each and every rat was returned to its cage. Each rat’s immobility period was determined by measuring how long it spent floating in the water without making any effort to maintain its head above the surface.
2.6.1.3 Tail Suspension Test
The results of this test were calculated using the techniques proposed by Belovicova et al. [35] and Castagné et al. [36]. The animals were suspended independently from their tails for 5 minutes, 58 cm from the ground. After the struggle phase, the rat became immobile and immobile time of each rat was detected.
2.6.1.4 Open Field Test
According to Zhang et al. [34] technique, the open field test was
conducted using the distance travelled test, center square entries test, and
center square duration test. Twenty-five squares made up an extra-large cage with
dimensions of 75 cm
2.6.2.1 Hypothalamus Antioxidants Determination
The activity of superoxide dismutase (SOD) was measured using the Suttle [37] method. The Pagalia and Valentine [38] method was used to measure the activity of glutathione peroxidase (GPx). Catalase (CAT) activity was calculated using the Aebi [39] technique. Malondialdehyde was measured as a sign of lipid peroxidation using the Ohkawa et al. [40] method. Following the instructions in the kit booklets, all of the aforementioned antioxidants were detected using spectrophotometry.
To detect conjugated dienes (CD), the method of Kogure et al. [41] was
used. Hypothalamus homogenate was added to a solution containing 1 mL of 10
mmol/L phosphate buffer (pH 7.4) and 1% Lubrol (0.01 mg of protein). Using a
spectrophotometer, conjugated dienes were measured using the absorbance ratio
A
Superoxide radical (O
2.6.2.2 Hypothalamus Neurotransmitters Determination
The Kitagawa [46] method was used to measure the serotonin level. The Guo
et al. [47] method was used to determine the dopamine level. The
norepinephrine level was determined using the Kapoor and Chalmers [48] technique.
To measure the level of
2.6.2.3 Hypothalamus Inflammatory Markers Determination
Tumor necrosis factor-
2.6.2.4 Hypothalamus Sodium/Potassium-ATPase Determination
The primary solution was made up of the following ingredients: NaCl (80 mM),
Tris HCl (50 mM, pH 7.4), MgCl
2.6.2.5 Detection of Hypothalamus Histamine-N-methyl transferase (Hnmt) and Tyrosine Hydroxylase (TH) Enzymes Expression by Using Real Time PCR (4385610, Hercules, CA, USA)
RNA was extracted from the hypothalamus using an Invitrogen
Hypothalamus specimens were preserved in 10% formalin. It was a routine task to embed hypothalamic tissue in paraffin blocks. Five meters of partitioning separated these blocks. Hematoxylin and eosin was used to stain all of the blocks before they were examined under a light microscope.
The results were presented as mean standard error mean in tables (SEM). In this
study, the normal distribution or the Gaussian distribution was used. The SPSS 13
application (IBM Corp., Chicago, IL, USA) was used to run a one-way Analysis of
Variance (ANOVA) test. p-values
Table 1 exhibits that there is a significant decrease in total body weight, food consumption, water intake, organ (liver, kidney, brain, pancreas, spleen, heart, adrenal gland) weight, and urine and fecal output in CMS rats with percentage of change equal to –22.42%, –37.93%, –37.09%, –33.33%, –41.67%, –30.36%, –36.00%, –38.24%, –36.11%, –35.71%, –33.33%, and –34.21% compared to the control group. On the contrary, malic acid and venlafaxine drug oral administration to CMS rats returned the total body weight, food consumption, water intake, organ (liver, kidney, brain, pancreas, spleen, heart, adrenal gland) weight, and urine and fecal output to approach the control values with percentage of change equal to 27.43% and 26.56%, 5.94% and 55.56%, 56.41% and 53.85%, 33.33% and 27.78%, 57.14% and 61.90%, 35.90% and 38.46%, 43.75% and 37.50%, 52.38% and 47.62%, 47.83% and 43.49%, 47.22% and 44.44%, 45.31% and 48.43%, and 40.00% and 36.00%, respectively compared to CMS rats. No loss of rat hair, no skin patches, no rat convulsions, and no animal deaths were observed in any of the groups studied during the experimental phase of the study.
| Parameters | Control | Malic acid | Venlafaxine drug | CMS rats | CMS rats + Malic acid | CMS rats + Venlafaxine |
| Total body weight (g) | 165 |
167 |
164 |
128 |
163 |
162 |
| Food consumption (g/day) | 11.6 |
11.4 |
11.5 |
7.2 |
11.3 |
11.2 |
| Water intake (mL/day) | 12.4 |
12.6 |
12.3 |
7.8 |
12.2 |
12.1 |
| Liver weight (g/100 g bw) | 2.7 |
2.6 |
2.5 |
1.8 |
2.4 |
2.3 |
| Kidney weight (g/100 g bw) | 0.36 |
0.37 |
0.35 |
0.21 |
0.33 |
0.34 |
| Brain weight (g) | 0.56 |
0.57 |
0.58 |
0.39 |
0.53 |
0.54 |
| Pancreas weight (g/100 g bw) | 0.25 |
0.27 |
0.24 |
0.16 |
0.23 |
0.22 |
| Spleen weight (g/100 g bw) | 0.34 |
0.33 |
0.36 |
0.21 |
0.32 |
0.31 |
| Heart weight (g/100 g bw) | 0.36 |
0.35 |
0.38 |
0.23 |
0.34 |
0.33 |
| Adrenal gland weight (mg/100 g bw) | 5.6 |
5.4 |
5.5 |
3.6 |
5.3 |
5.2 |
| Urinary volume (mL/100 g/8 h) | 0.96 |
0.94 |
0.97 |
0.64 |
0.93 |
0.95 |
| Fecal pellet count | 38 |
37 |
36 |
25 |
35 |
34 |
Number of animals = 6 rats/group. Data are represented as mean
Table 2 reveals malic acid effect on behavioral tests in CMS rats. It is clear
that CMS caused a highly significant decrease (p
| Parameters | Control | Malic acid | Venlafaxine drug | CMS rats | CMS rats + Malic acid | CMS rats + Venlafaxine |
| Sucrose preference test (%) | 89.2 |
88.3 |
87.9 |
48.8 |
86.3 |
89.7 |
| Distance traveled test (cm) | 226.7 |
220.0 |
223.7 |
70.0 |
220.6 |
224.7 |
| Center square entries test (/5 minutes) | 1.40 |
1.50 |
1.46 |
0.20 |
1.36 |
1.39 |
| Center square duration test (seconds) | 3.60 |
3.43 |
3.54 |
7.18 |
3.62 |
3.64 |
| Tail suspension test (seconds) | 19.33 |
18.80 |
18.71 |
54.70 |
19.54 |
20.35 |
| Forced swimming test (seconds) | 83.7 |
83.4 |
82.9 |
134.4 |
81.37 |
84.16 |
Number of animals = 6 rats/group. Data are represented as mean
Table 3 shows malic acid effect on antioxidant levels in the hypothalamus of CMS
rats. It can be concluded from the table that CMS induced a highly significant
decrease (p
| Parameters | Control | Malic acid | Venlafaxine drug | CMS rats | CMS rats + Malic acid | CMS rats + Venlafaxine |
| Superoxide dismutase (U/g tissue) | 3250 |
3240 |
3245 |
1170 |
3230 |
3220 |
| Glutathione peroxidase (U/g tissue) | 785 |
780 |
785 |
365 |
775 |
770 |
| Catalase (µmol H |
0.18 |
0.19 |
0.17 |
0.09 |
0.17 |
0.16 |
| Malondialdehyde (µmol/g tissue) | 8.52 |
8.49 |
8.50 |
19.38 |
9.54 |
9.58 |
| NADPH oxidase activity (mg/mg protein |
12.3 |
12.5 |
12.4 |
7.6 |
11.6 |
11.9 |
| Conjugated dienes (µmol/g tissue) | 1.45 |
1.42 |
1.43 |
2.13 |
1.46 |
1.47 |
| Oxidative index (A |
0.49 |
0.47 |
0.50 |
0.82 |
0.53 |
0.51 |
Number of animals = 6 rats/group. Data are represented as mean
Fig. 2 exhibits malic acid effect on neurotransmitter levels in the hypothalamus
of CMS rats. It is obvious that CMS caused a highly significant decrease
(p
Fig. 2.Effect of malic acid on neurotransmitters levels in hypothalamus
of chronic mild stress (CMS) rats. Fig. 2 explains hypothalamus neurotransmitters. (A) Serotonin (ng/g
tissue). (B) Dopamine (ng/g tissue). (C) Norepinephrine (ng/g tissue). (D) Gamma
amino butyric acid (µmol/g tissue). Number of animals = 6
rats/group. Data are represented as mean
Fig. 3 shows malic acid effect on inflammatory markers in the hypothalamus of
CMS rats. It can be estimated that depression induced a highly significant
increase (p
Fig. 3.Effect of malic acid on inflammatory markers in hypothalamus of
CMS rats. Fig. 3 shows hypothalamus inflammatory markers. (A) Tumor necrosis
factor-
Fig. 4 exhibits the effect of malic acid on sodium/potassium-ATPase activity in
the hypothalamus of CMS group. It is obvious from this figure that CMS induced a
highly significant decrease (p
Fig. 4.Effect of malic acid on sodium/potassium-ATPase activity in
hypothalamus of CMS rats. Fig. 4 reveals hypothalamus sodium/potassium-ATPase
activity (nmol pi/min/mg protein). Number of animals = 6 rats/group.
Data are represented as mean
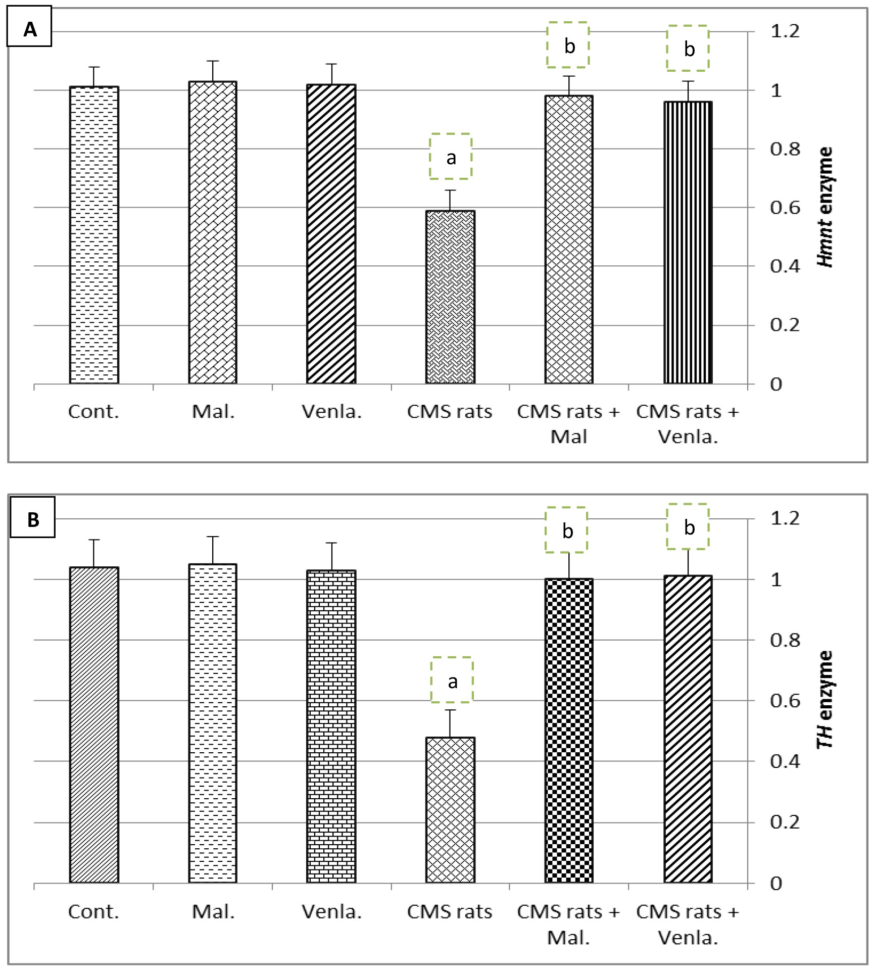
Fig. 5 reveals malic acid effect on the fold change of Hnmt and
TH enzyme expressions in the hypothalamus of CMS rats. The data indicate
that CMS caused a highly significant decrease (p
Fig. 5.Effect of malic acid on fold change of histamine-N-methyl
transferase (Hmnt) and tyrosine hydroxylase (TH) enzymes
expressions in hypothalamus of CMS rats. Fig. 5 exhibits hypothalamus
histamine-N-methyl transferase (Hmnt) and tyrosine hydroxylase
(TH) enzyme expressions. (A) Fold change of Hmnt enzyme. (B)
Fold change of TH enzyme. Number of animals = 6 rats/group. Data are
represented as mean
Fig. 6 reveals hypothalamus tissue in the control group, showing the control neurons with large nuclei (pale-stained neurons) (black arrows) (Fig. 6A). Hypothalamus sections of the CMS rats showed small cells that were missing the normal large cells and their normal nuclei. These small cells appear as rings and these neurons contain newly dark dead neurons (black arrows) (Fig. 6B). CMS rats treated with malic acid (250 mg/kg bw) or venlafaxine drug (20 mg/kg bw) showed large normal neurons with normal nuclei that looked like the control group (Fig. 6C).
Fig. 6.Hypothalamus histology in control, CMS, CMS+ malic acid (250 mg/kg)-, and CMS+ venlafaxine (20 mg/kg)-treated groups. (A) Hypothalamus sections of control rats showing the highly active nerve cells that have huge nuclei that are relatively pale-stained (black arrows). (B) Hypothalamus sections from CMS rats showed small cells that are missing the normal large normal cells and their normal nuclei; these small cells appear like rings, and the recently dead neurons appear dark (black arrows). (C) The CMS rats treated with malic acid (250 mg/kg bw) or venlafaxine drug (20 mg/kg bw) revealed large normal cells with normal nuclei that looked like control cells. Scale bar = 20 µm.
Stress causes depression by increasing brain superoxide anion and neuro-inflammation due to stimulation of the hypothalamus-pituitary-adrenal axis [55]. The pathogenesis and symptoms of human depression are comparable to those shown in the CMS animal model [56]. In comparison to the control group, the study found a reduction in food intake, water consumption, urine production, and organ weights. CMS significantly affects the animal’s desire for food and water, which in turn causes the animal’s total and organ weights to decrease. This decrease in animal appetite is brought on by the CMS rats’ lower levels of insulin and leptin, and these findings concur with those of Aluko and Umukoro [57], Flak et al. [58], and Wang et al. [59]. CMS caused a decline in the sucrose preference test, travel distance test, and center square entries test, but a rise in the center square duration test, tail suspension test, and forced swimming test. In tests using inescapable cases like the tail suspension test and the forced swimming test to force the rat to confront depressing and challenging circumstances, CMS is associated with stress exposure in rats. These studies assessed the animal’s management strategy in these circumstances. At the conclusion of each rat’s struggling phase throughout these tests, the immobility time is recorded [57]. In the forced swimming test and the tail suspension test, CMS rats showed an increase in the immobility period. These findings explain the animal’s management strategy in an unavoidable circumstance that closely resembles evident depressive symptoms, and they are corroborated by earlier investigations [34, 60].
CMS makes people respond more anxiously, which has an impact on their automatic behavior. By introducing the rat to a novel habitat and observing the animal’s adaptability, risk assessment-correlated behavior, and exploratory activities like the open field test, anxiety in rats was studied [35]. In the open field test, CMS rats display a decrease in the number of rearing, crossed lines, and central square entries. These findings, which related to anxiety and a poorer risk assessment behavior, are corroborated by other studies [34, 59]. Anhedonia simulates the loss of pleasure that is a hallmark of depressive patients’ symptoms [61]. In depressive individuals, anhedonia is associated with indoleamin 2,3-dioxygenase I expression. The sucrose preference test can be used to measure hedonic behavior in rats. CMS rats show a decrease in this test, and the degree of the decline depends on the length of CMS exposure. These results are consistent with those of Zhang et al. [34] and Filho et al. [62].
The decrease of distance travelled test in CMS rats is due to 2 reasons; (1) the
decrease of hypothalamus neurotransmitters serotonin, dopamine, norepinephrine,
and
CMS caused also a decrease in hypothalamus neurotransmitters, where CMS is characterized by disturbances of both psychological and physiological conditions [67], chronic mild stress decreased 5-hydroxytryptamine levels [68]. Malic acid oral administration to CMS rats amended the behavioral disturbances and hypothalamus neurotransmitters in CMS rats. This observation is related to the antidepressant activity of malic acid, which, in accordance with many previous studies such as Tanasiewicz et al. [69], stated that malic acid treated xerostomia, which led to depression. Also, Ferreira et al. [70] showed that malic acid treats patients with fibromyalgia, and the acid reduces the patient’s pain and its depressive symptoms. Moreover, von Eggelkraut-Gottanka et al. [71] revealed that malic acid plays a key role in the treatment of mild/moderate depressive disorders. Furthermore, Lian et al. [72] reported that malic acid has an antidepressant effect.
CMS induced oxidative stress in the hypothalamus of the CMS group, where CMS increased hydrogen peroxide production and neuroinflammation [73]. Malic acid oral administration to CMS rats jumped the antioxidant enzyme activities in the hypothalamus of those rats. This effect is related to the antioxidant activity of malic acid. Many previous studies agree with these results. As Quiroga et al. [74] stated, malic acid has antioxidant activity. Also, Yan et al. [75] found that malic acid improves the antioxidants in pigs. Moreover, Mousavi et al. [22] revealed that malic acid increases catalase, ascorbate peroxidase, and many antioxidants but it decreases cadmium toxicity inside the plant. Furthermore, Calvo et al. [76] and Taher et al. [77] proved that malic acid has antioxidant, antihypertensive, and hypoglycemic activities.
CMS increased the inflammatory markers in the hypothalamus of CMS rats, where
CMS induce neuro-inflammation [73]. The oral administration of malic acid to CMS
rats decreased these markers in the hypothalamus. This observation is related to
the anti-inflammatory activity of malic acid, where Tang et al. [78]stated that malic acid reduced serum levels of tumor necrosis factor-
CMS induced a decrease in sodium/potassium-ATPase activity in the hypothalamus
of CMS rats, where CMS induced oxidative stress that caused the depletion of
antioxidant enzymes. The imbalance in the oxidative state caused a deficiency in
sodium/potassium-ATPase activity [82]. The oral administration of malic acid to
CMS rats amended sodium/potassium-ATPase activity in the hypothalamus of CMS
rats. This observation is related to the finding that malic acid increases oxygen
consumption and decreases glucose secretion [83]. Also, malic acid increases the
K
CMS caused a decrease in Hnmt and TH enzyme overexpression in the hypothalamus of CMS rats. Brain histamine is a neurotransmitter and regulates many physiological functions, and histamine depletion causes many neurological disorders such as sleeping disorders, depression, and Parkinson’s disease. Hnmt is a histamine-metabolising enzyme expressed in the brain. The deficiency causes the depletion in the concentration of catecholamines because it is an important rate-limiting enzyme in their biosynthesis. Hnmt is an essential enzyme for the elimination of histamine [85, 86]. The TH and Hnmt genes were inhibited in CMS rats. The decrease of Hnmt and TH enzymes will perturb the synthesis of neurotransmitters and enhance neuroinflammation. The oral administration of malic acid to CMS rats restored Hnmt and TH enzymes in the hypothalamus of CMS rats to levels approaching the control levels due to malic acid’s inhibition of neuro-inflammation and hydrogen peroxide production in the neurons [22, 78, 80].
Histological investigation showed acid cytoprotective on the hypothalamus of CMS rats, and these results are related to the fact that malic acid inhibits neuro-inflammation and hydrogen peroxide production in the neurons. Such an observation is supported by Martin-Nizard et al. [87], who revealed that malic acid inhibits low-density lipoprotein-induced cellular toxicity. Also, Bhattacharya and Tulsawani [88] showed that malic acid has maximum cytoprotection against the toxicity of potassium cyanide.
Exposing animals to many stressors causes CMS rats. CMS was associated with disturbances of animal behaviors such as decreasing sucrose preference testing, distance travelled testing, and center square entry testing but increasing center square duration testing, tail suspension testing, and forced swimming tests. Depression decreased hypothalamus antioxidants such as catalase and NADPH oxidase activities but increased malondialdehyde, conjugated dienes, and the oxidative index. It also decreased hypothalamic neurotransmitter levels. Moreover, it increased hypothalamic inflammatory marker levels. Furthermore, it decreased hypothalamic sodium/potassium-ATPase activity. Finally, it decreased hypothalamic Hnmt and TH enzymes in CMS rats compared to the control group. Malic acid or venlafaxine drug oral administration to CMS rats pushed the above-mentioned behavioral tests, antioxidants, neurotransmitters, inflammatory markers, sodium/potassium-ATPase activity, and Hnmt and TH enzymes in the hypothalamus of depressed rats to approach the control values.
Malic acid’s neuroprotective mechanism depends on a rise in adenosine
triphosphate (ATP) levels and a fall in propidium iodide (PI) nucleic acid
levels. Malic acid’s neuroprotective function stops the degenerative degeneration
of the neurons as well as the loss of mitochondrial O
Malic acid is a potent antioxidant, yet it has no effect on all the parameters tested in the normal rats. This effect is due to the acid’s preservation properties, which allow food goods to be preserved for months without experiencing any change in the composition of the contents. Malic acid is listed as a food additive with the E number (E296). The European Union [91], the United States [92], Australia, and New Zealand [93] all utilize it as a food additive for years.
The limitation of the study includes small sample size was used. Also, all other study factors, including internal and external variables, are under control. A small sample size and thorough control of the experimental circumstances also make it simple to determine the neuro-protective impact of malic acid on CMS rats. Consequently, there is a better and accurate result obtained from this study but this result is difficult to apply in depressive human subjects due to external, psychological, and internal variables, as well as, small sample size used in the study.
CMS modified animal behaviors, as well as, neurotransmitters, antioxidants, inflammatory markers, sodium/potassium-ATPase activity, and Hnmt and TH enzymes in the hypothalamus of CMS rats. Malic acid was given orally to CMS rats to treat these CMS-related symptoms. This result is associated with malic acid’s ability to reduce neuro-inflammation and the generation of hydrogen peroxide in the neurons. The clinical study that will be conducted as the second stage of this research will examine the impact of malic acid on depressive patients, and the results will be positive if malic acid may reduce depressive-like symptoms in those individuals.
The datasets used and analyzed during the current study are available from the corresponding author on reasonable request.
KMMK selected the topic and created the research plan. The experiments for the study were conducted by KMMK and HAKT. KMMK carried out the study’s statistical analysis and collected the outcome data. The initial and final forms of the work were written by KMMK. The article’s final form was authorized by KMMK and HAKT. Both authors contributed to editorial changes in the manuscript. Both authors have participated sufficiently in the work and agreed to be accountable for all aspects of the work.
This study and all experimental methods were authorized by the National Research Centre Institutional animal care and use committee; the approval code was 12041126. This study was conducted at the National Research Centre, which adhered to strict guidelines for the housing of animals and all other experimental study procedures, particularly the protocol for the care and use of animals.
Not applicable.
This research received no external funding.
The authors declare no conflict of interest.
References
Publisher’s Note: IMR Press stays neutral with regard to jurisdictional claims in published maps and institutional affiliations.






