1 Department of Surgery, Quanzhou Medical College, 362000 Quanzhou, Fujian, China
2 Department of Thyroid and Breast Surgery, The Second Clinical Medical College of Fujian Medical University, 362000 Quanzhou, Fujian, China
3 Department of Reproductive Medicine, The Second Clinical Medical College of Fujian Medical University, 362000 Quanzhou, Fujian, China
Abstract
First primary breast cancer (FPBC) and second primary breast cancer (SPBC) differ in clinical presentation, pathological features, molecular subtypes, and prognosis. This study compared the incidence, clinical characteristics, and survival outcomes of FPBC and SPBC from 2010 to 2021 using the Surveillance, Epidemiology, and End Results (SEER) database, and analyzed the impact of different treatment regimens on survival across patient subgroups.
A total of 595,903 FPBC patients and 31,055 SPBC patients from the SEER database (2010–2021) were included in this study. The analysis focused on the incidence rates, demographic characteristics, and survival-related factors for both FPBC and SPBC. Additionally, the impact of different treatment regimens on survival was also evaluated.
Between 2010 and 2021, the incidence of SPBC showed a consistent increase, whereas the incidence of FPBC remained relatively stable, showing no significant upward or downward trend. SPBC patients exhibited a significantly worse survival prognosis compared with FPBC patients. Multivariate analysis identified age, race, marital status, year of diagnosis, tumor location, laterality, grade, SEER stage, histologic type, breast subtype, chemotherapy, surgery, radiation, and combination therapy as independent prognostic factors influencing long-term survival. The study also compared the impact of different treatment strategies on survival among FPBC and SPBC patients with varying clinical and demographic characteristics.
This study demonstrates that SPBC patients have a significantly worse survival prognosis compared with FPBC patients. The poorer prognosis of SPBC is closely associated with pathological features, suboptimal treatment response, and the site of the prior primary cancer.
Keywords
- second primary breast cancer
- SEER database
- overall survival
- cancer-specific survival
Breast cancer (BC) is a global health challenge, as it is the most commonly diagnosed cancer and a leading cause of cancer-related mortality among women worldwide [1]. Advances in early detection and treatment have significantly improved survival rates, creating a growing population of long-term cancer survivors [2, 3]. However, this success has revealed a new clinical challenge, namely, an increased risk of developing a second primary breast cancer (SPBC) [4, 5].
SPBC represents a distinct clinical entity from first primary breast cancer (FPBC), with studies reporting differences in tumor characteristics, molecular subtypes, and potential etiology [6, 7]. Consequently, the management of SPBC cannot be simply extrapolated from guidelines established for FPBC. A critical source of therapeutic heterogeneity in BC lies in its distinct molecular subtypes, which dictate disease behavior and response to treatment [8]. While the optimal treatment strategies for FPBC are well-defined based on these subtypes, a significant knowledge gap exists regarding whether these paradigms hold true for SPBC patients.
Currently, there is a scarcity of large-scale, population-based studies that directly compare the clinical outcomes of SPBC and FPBC patients. More importantly, it remains largely unexplored how the survival benefits of standard treatment modalities (e.g., surgery, radiotherapy) vary between SPBC and FPBC, and particularly within different demographic and clinicopathological subgroups of SPBC patients. This lack of evidence hinders the development of precise and effective management strategies for this unique patient population.
This study addressed these critical gaps by utilizing data from the Surveillance, Epidemiology, and End Results (SEER) database. Firstly, we comprehensively compared the clinicopathological features and survival outcomes between SPBC and FPBC patients. Second, and more critically, we evaluated the differential efficacy of various treatment regimens across key demographic and tumor-specific subgroups within the SPBC cohort. Our findings provide crucial evidence to inform personalized treatment decisions and improve survival for patients facing a SPBC diagnosis.
The study population was selected from the SEER database and included women diagnosed with PBC based on pathological confirmation (International Classification of Diseases for Oncology, Third Edition [ICD-O-3] anatomical codes C50.0–C50.9) [9]. Since molecular subtypes are only recorded from 2010 onward, this study included patients from 2010 onward.
The data were obtained from the Incidence-SEER-Research Data (17 Registries, November 2023 submission, 2000–2021), with case lists and corresponding data extracted using SEER*Stat 8.4.1 software (National Cancer Institute, Bethesda, MD, USA). For further details, refer to https://seer.cancer.gov/seerstat/. We applied inclusion and exclusion criteria to select the patients (Fig. 1); any missing data in the dataset were considered “Unknown”. The study population was derived from the United States National Cancer Institute’s SEER program, covering 18 population-based registries across multiple states (approximately 28% of the U.S. population). Follow-up was measured in months (Survival months) from diagnosis to death or last contact, and cases with missing or zero survival months were excluded.
Fig. 1.
Patient allocation flow chart. The diagram illustrates the application of inclusion and exclusion criteria to identify the final cohorts of patients with FPBC and SPBC for this study. SEER, Surveillance, Epidemiology, and End Results; FPBC, first primary breast cancer; SPBC, second primary breast cancer.
Patient records were extracted from the SEER database for this study if they met the following criteria: (1) diagnosed with primary female BC (ICD-O-3); (2) diagnosed with an SPBC at least 12 months later in a different location or with a different histology; and (3) complete survival data.
The exclusion criteria were as follows: (1) patients with a diagnosis based solely on a death certificate, autopsy report, or clinical diagnosis; (2) male patients; and (3) patients with missing surgical information.
2.2.1.1 Overall Survival
Overall survival (OS) was determined using the “vital status recode (study cutoff used)” variable in the SEER database to assess all-cause mortality.
2.2.1.2 Cancer-Specific Survival
Cancer-specific survival (CSS) is calculated based on the “vital status recode study cutoff used” and “SEER other cause of death classification” variables.
Surgery type was categorized as “none, breast-conserving surgery (BCS), mastectomy, surgery (not otherwise specified, NOS)”.
Radiation Therapy was represented as “RADIATION RECODE” in the database. However, “none” and “unknown” were grouped together. By incorporating “RX SUMM–SURG/RAD SEQ” (sequence of surgery and radiation) and surgical information, it was reclassified as “none, yes, unknown”.
Combination therapy was defined based on surgery and radiation status: “both surgery and radiation, surgery only, radiation only, neither surgery nor radiation, unknown treatment”.
The molecular subtypes were based on the status of Hormone Receptor (defined by estrogen receptor [ER] and progesterone receptor [PR]) and human epidermal growth factor receptor 2 (HER2), the molecular subtypes were categorized as follows [10, 11]:
(1) luminal A: Hormone Receptor+/HER2–; (2) luminal B: Hormone Receptor+/HER2+; (3) triple-negative: Hormone Receptor–/HER2–; and (4) HER2 enriched: Hormone Receptor–/HER2+. *(Note: Hormone Receptor+ = ER+ and/or PR+; Hormone Receptor– = ER– and PR–. Due to the lack of Ki-67 data in SEER, molecular subtyping was based solely on Hormone Receptor and HER2 status).
The histological subtypes were categorized as follows [12]: (1) infiltrating ductal carcinoma (IDC, 8500/3); (2) infiltrating lobular carcinoma (ILC, 8520/3); (3) infiltrating duct carcinoma and lobular carcinoma (IDLC, 8522/3; and (4) other.
SPBC was defined as a subsequent PBC occurring
Normally distributed continuous data are presented as the mean
(1) The OS of patients with PBC was analyzed using a multivariate Cox proportional hazards model to identify factors influencing OS.
(2) The CSS of PBC patients was analyzed using a multivariate competing risks model to identify factors influencing CSS. CSS was analyzed using a Fine–Gray subdistribution hazards model treating other-cause deaths as competing events, with sensitivity analyses censoring deaths due to the first primary cancer (Supplementary Table 1).
To assess the impact of missing data on the robustness of our findings, we performed sensitivity analyses using multiple imputation. We employed a stratified hot-deck approach (m = 20 imputations) for these variables, refitted the multivariable Cox and Fine‑Gray models on each imputed dataset, and pooled estimates using Rubin’s rules. Results were consistent with the primary complete‑case analysis (Supplementary Tables 2,3). To address unstable hazard‑ratio estimates due to small subgroups (e.g., original Grade IV), we merged adjacent categories (e.g., Grade III–IV) and excluded subgroups with fewer than 50 cases or fewer than 10 events in the multivariable models (Supplementary Table 4).
Subgroup analysis and trend tests were conducted. Subgroup analyses were exploratory, and p-values were adjusted for multiple comparisons using Bonferroni and false discovery rate corrections (Supplementary Table 5). To minimize treatment selection bias, propensity score matching (1:1 nearest-neighbor matching, caliper = 0.2) and inverse probability of treatment weighting (IPTW, average treatment effect estimand) were conducted using demographic and clinicopathological covariates to balance baseline characteristics between treatment groups (Supplementary Table 6).
The hazard ratio (HR), 95% confidence interval (CI), and annual percent change
(APC) were used as evaluation metrics. The significance level was set at 0.05.
Case lists were generated using SEER*Stat 8.4.1 software (National Cancer
Institute, Bethesda, MD, USA), and corresponding data were exported. Data
cleaning and statistical analyses were performed using SAS 9.4 software (SAS
Institute Inc., Cary, NC, USA). Trend analysis was conducted using the Joinpoint
Regression Program 4.8.0.1 (April 2020; National Cancer Institute, Bethesda, MD,
USA). Kaplan-Meier (KM) survival curves were generated using R software (R
version 4.4.0, 2024-04-24, ucrt; R Foundation for Statistical Computing, Vienna,
Austria). Incidence trends were analyzed using a log-linear Joinpoint regression
model (Joinpoint Regression Program, version 4.8.0.1; National Cancer Institute).
The model allowed up to one joinpoint for the period of 2010–2021, and the
optimal model was selected using permutation tests (
In this study, we observed that the incidence of SPBC continuously increased
from 2010 to 2021, indicating a significant rise in BC incidence among this
population, with a statistically significant trend. Joinpoint analysis indicated
that no additional joinpoints were identified between 2010 and 2021. The APC for
SPBC was 0.46% (95% CI: 0.12%–0.78%; p = 0.021), suggesting a mild
but statistically significant upward trend. The model showed a good fit (BIC
criteria satisfied; permutation test p
Fig. 2.
Trends in the incidence of FPBC and SPBC among women from 2010
to 2021. Incidence trends were analyzed using Joinpoint regression, and the APC
was calculated. The analysis revealed a statistically significant increase in the
incidence of SPBC (APC = 0.46%, p
A total of 595,903 patients with FPBC and 31,055 patients with SPBC were
included in the study. A comparative analysis of the clinical characteristics of
these two patient groups is presented in Table 1. Significant clinical
differences between FPBC and SPBC patients were observed in variables such as
age, race, marital status, year of diagnosis, tumor location, laterality, grade,
SEER stage, histological type, breast subtypes, chemotherapy, surgery, radiation,
combination therapy and survival. As expected, given the necessity of a prior
cancer diagnosis, SPBC patients were significantly older at diagnosis. A higher
proportion of SPBC patients were White (83.04%). Compared to FPBC, the breast
tumors in SPBC patients were more evenly distributed across the quadrants. SPBC
patients had a greater tendency to develop cancer in the left breast (50.53%).
The proportion of high-grade tumors was higher among SPBC patients. Regarding the
SEER stage, SPBC patients were predominantly classified as localized. Regarding
histological type, IDC was more prevalent among SPBC patients. Regarding BC
subtype, a higher proportion of SPBC patients had luminal A tumors. Regarding
surgical treatment, a larger proportion of SPBC patients underwent BCS (55.63%).
The number of SPBC patients who received radiation therapy (43.62%) was 12 times
higher than those who did not receive radiation (3.56%). Furthermore, the number
of patients receiving both radiation therapy and surgery (42.38%) was
substantially higher than those receiving only radiation (1.18%), only surgery
(3.30%), or no treatment (0.25%). The proportion of deaths due to BC in SPBC
patients was 10.07%, while the proportion of deaths from other causes was
14.73%. In comparison, for FPBC patients, the proportion of deaths due to BC was
9.58%, and deaths from other causes accounted for 7.24%. These findings suggest
that SPBC patients have a higher mortality rate compared to FPBC patients and are
more likely to die from causes unrelated to BC. Additionally, for SPBC patients,
the most common primary tumor site was the breast, followed by the female genital
system. Furthermore, a higher proportion of SPBC patients had received radiation
therapy (28.68%) compared to those who had not received radiation therapy
(0.81%). Beyond comparing the characteristics of FPBC and SPBC patients, we further investigated whether the clinicopathological features of the FPBC itself were associated with the risk of developing a subsequent SPBC. Analysis across FPBC subgroups defined by tumor grade, SEER summary stage, histologic type, and molecular subtype revealed significant differences in the proportion of patients who developed an SPBC (all p
| Variables | Total (n = 626,958) | Groups | Statistics | p | ||
| FPBC (n = 595,903) | SPBC (n = 31,055) | |||||
| Age, years, mean |
61.06 |
60.70 |
67.99 |
t = –104.610 | ||
| Race, n (%) | ||||||
| White | 486,601 (77.61) | 460,814 (77.33) | 25,787 (83.04) | |||
| Black | 67,897 (10.83) | 65,041 (10.91) | 2856 (9.20) | |||
| Other | 72,460 (11.56) | 70,048 (11.75) | 2412 (7.77) | |||
| Marital status, n (%) | ||||||
| Single | 97,394 (15.53) | 93,380 (15.67) | 4014 (12.93) | |||
| Married | 342,516 (54.63) | 327,049 (54.88) | 15,467 (49.81) | |||
| Unknown | 187,048 (29.83) | 175,474 (29.45) | 11,574 (37.27) | |||
| Diagnosis year, n (%) | ||||||
| 2010–2015 | 299,025 (47.69) | 285,828 (47.97) | 13,197 (42.50) | |||
| 2016–2021 | 327,933 (52.31) | 310,075 (52.03) | 17,858 (57.50) | |||
| Primary site, n (%) | ||||||
| Nipple | 2796 (0.45) | 2576 (0.43) | 220 (0.71) | |||
| Central portion of breast | 28,555 (4.55) | 26,977 (4.53) | 1578 (5.08) | |||
| Upper-inner quadrant of breast | 77,524 (12.37) | 73,721 (12.37) | 3803 (12.25) | |||
| Lower-inner quadrant of breast | 33,694 (5.37) | 31,825 (5.34) | 1869 (6.02) | |||
| Upper-outer quadrant of breast | 211,291 (33.70) | 201,613 (33.83) | 9678 (31.16) | |||
| Lower-outer quadrant of breast | 47,086 (7.51) | 44,563 (7.48) | 2523 (8.12) | |||
| Axillary tail of breast | 2889 (0.46) | 2671 (0.45) | 218 (0.70) | |||
| Overlapping lesion of breast | 143,566 (22.90) | 136,409 (22.89) | 7157 (23.05) | |||
| Breast, NOS | 79,557 (12.69) | 75,548 (12.68) | 4009 (12.91) | |||
| Laterality, n (%) | ||||||
| Left-origin of primary | 316,087 (50.42) | 300,396 (50.41) | 15,691 (50.53) | |||
| Right-origin of primary | 307,146 (48.99) | 292,022 (49.00) | 15,124 (48.70) | |||
| Other | 3725 (0.59) | 3485 (0.58) | 240 (0.77) | |||
| Grade, n (%) | ||||||
| I | 86,420 (13.78) | 82,044 (13.77) | 4376 (14.09) | |||
| II | 163,462 (26.07) | 155,595 (26.11) | 7867 (25.33) | |||
| III | 116,353 (18.56) | 111,983 (18.79) | 4370 (14.07) | |||
| IV | 442 (0.07) | 409 (0.07) | 33 (0.11) | |||
| Unknown | 260,281 (41.51) | 245,872 (41.26) | 14,409 (46.40) | |||
| SEER stage, n (%) | ||||||
| Distant | 34,820 (5.55) | 33,352 (5.60) | 1468 (4.73) | |||
| Localized | 402,629 (64.22) | 380,837 (63.91) | 21,792 (70.17) | |||
| Regional | 180,084 (28.72) | 172,889 (29.01) | 7195 (23.17) | |||
| Unknown | 9425 (1.50) | 8825 (1.48) | 600 (1.93) | |||
| Histologic type, n (%) | ||||||
| IDC | 472,303 (75.33) | 452,025 (75.86) | 20,278 (65.30) | |||
| ILC | 60,065 (9.58) | 55,871 (9.38) | 4194 (13.51) | |||
| IDLC | 30,614 (4.88) | 28,631 (4.80) | 1983 (6.39) | |||
| Other | 63,976 (10.20) | 59,376 (9.96) | 4600 (14.81) | |||
| Breast subtypes, n (%) | ||||||
| Luminal A | 432,122 (68.92) | 409,905 (68.79) | 22,217 (71.54) | |||
| Luminal B | 62,724 (10.00) | 60,316 (10.12) | 2408 (7.75) | |||
| Triple-negative | 64,256 (10.25) | 61,312 (10.29) | 2944 (9.48) | |||
| HER2 enriched | 26,373 (4.21) | 25,413 (4.26) | 960 (3.09) | |||
| Unknown | 41,483 (6.62) | 38,957 (6.54) | 2526 (8.13) | |||
| Chemotherapy, n (%) | ||||||
| None/unknown | 378,010 (60.29) | 355,398 (59.64) | 22,612 (72.81) | |||
| Yes | 248,948 (39.71) | 240,505 (40.36) | 8443 (27.19) | |||
| Surgery, n (%) | ||||||
| None | 61,843 (9.86) | 58,295 (9.78) | 3548 (11.42) | |||
| BCS | 353,642 (56.41) | 336,367 (56.45) | 17,275 (55.63) | |||
| Mastectomy | 209,391 (33.40) | 199,272 (33.44) | 10,119 (32.58) | |||
| Surgery (NOS) | 2082 (0.33) | 1969 (0.33) | 113 (0.36) | |||
| Radiation, n (%) | ||||||
| None | 17,347 (2.77) | 16,241 (2.73) | 1106 (3.56) | |||
| Yes | 332,755 (53.07) | 319,210 (53.57) | 13,545 (43.62) | |||
| Unknown | 276,856 (44.16) | 260,452 (43.71) | 16,404 (52.82) | |||
| Combination therapy, n (%) | ||||||
| None | 1950 (0.31) | 1871 (0.31) | 79 (0.25) | |||
| Only radiation | 8729 (1.39) | 8364 (1.40) | 365 (1.18) | |||
| Only surgery | 15,371 (2.45) | 14,345 (2.41) | 1026 (3.30) | |||
| Radiation and surgery | 323,469 (51.59) | 310,307 (52.07) | 13,162 (42.38) | |||
| Unknown | 277,439 (44.25) | 261,016 (43.80) | 16,423 (52.88) | |||
| OS, n (%) | ||||||
| Alive | 518,991 (82.78) | 495,636 (83.17) | 23,355 (75.21) | |||
| Dead | 107,967 (17.22) | 100,267 (16.83) | 7700 (24.79) | |||
| Cancer‐specific survival, n (%) | ||||||
| Alive | 518,991 (82.78) | 495,636 (83.17) | 23,355 (75.21) | |||
| Dead (attributable to this cancer) | 60,238 (9.61) | 57,112 (9.58) | 3126 (10.07) | |||
| Dead (dead of another cause) | 47,729 (7.61) | 43,155 (7.24) | 4574 (14.73) | |||
| Follow-up time, month, M (Q1, Q3) | 53.00 (24.00, 91.00) | 54.00 (24.00, 91.00) | 44.00 (19.00, 78.00) | Z = –33.647 | ||
| Clinicopathological features of first primary cancer (in SPBC Patients) | ||||||
| Radiation, n (%) | ||||||
| None | / | / | 253 (0.81) | / | / | |
| Yes | / | / | 8908 (28.68) | / | / | |
| Unknown | / | / | 21,894 (70.50) | / | / | |
| Primary site, n (%) | ||||||
| Breast | / | / | 7928 (25.53) | / | / | |
| Digestive system | / | / | 4481 (14.43) | / | / | |
| Female genital system | / | / | 5652 (18.20) | / | / | |
| Lung and bronchus | / | / | 1509 (4.86) | / | / | |
| Lymphoma | / | / | 1745 (5.62) | / | / | |
| Skin excluding basal and squam | / | / | 2352 (7.57) | / | / | |
| Urinary system | / | / | 2087 (6.72) | / | / | |
| Other | / | / | 5301 (17.07) | / | / | |
Note: t, t-test; Z, Wilcoxon rank-sum test;
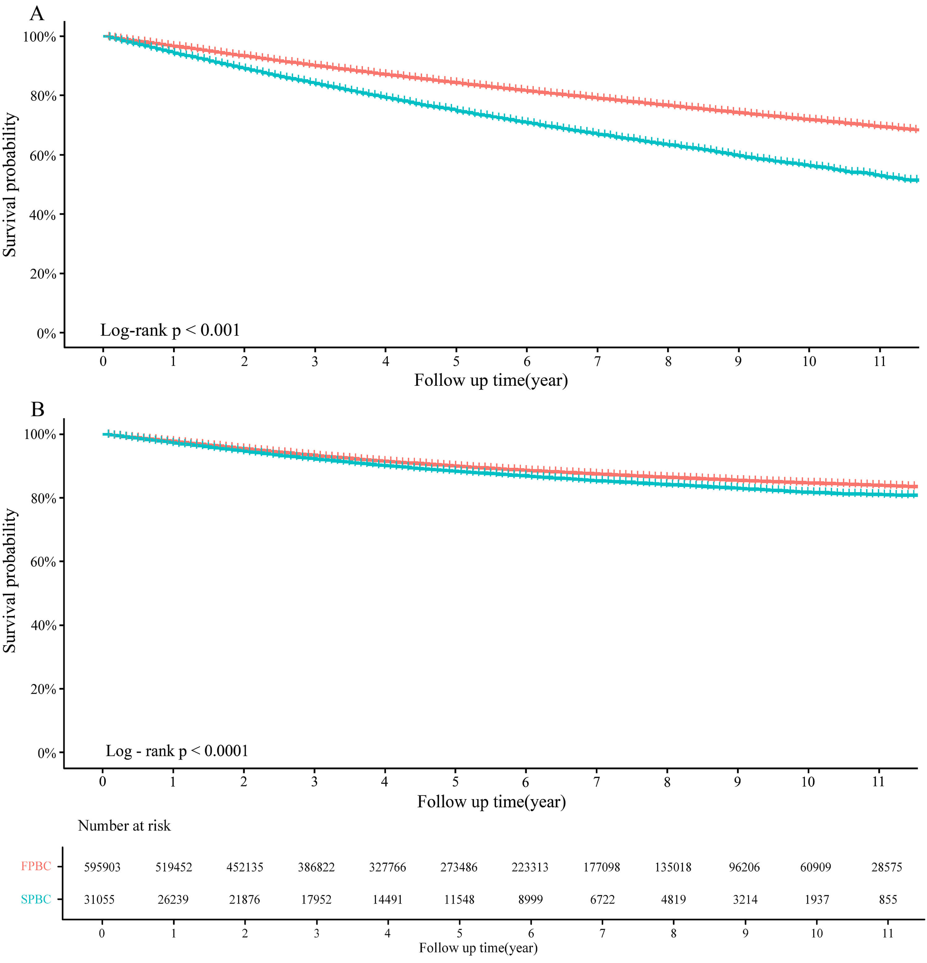
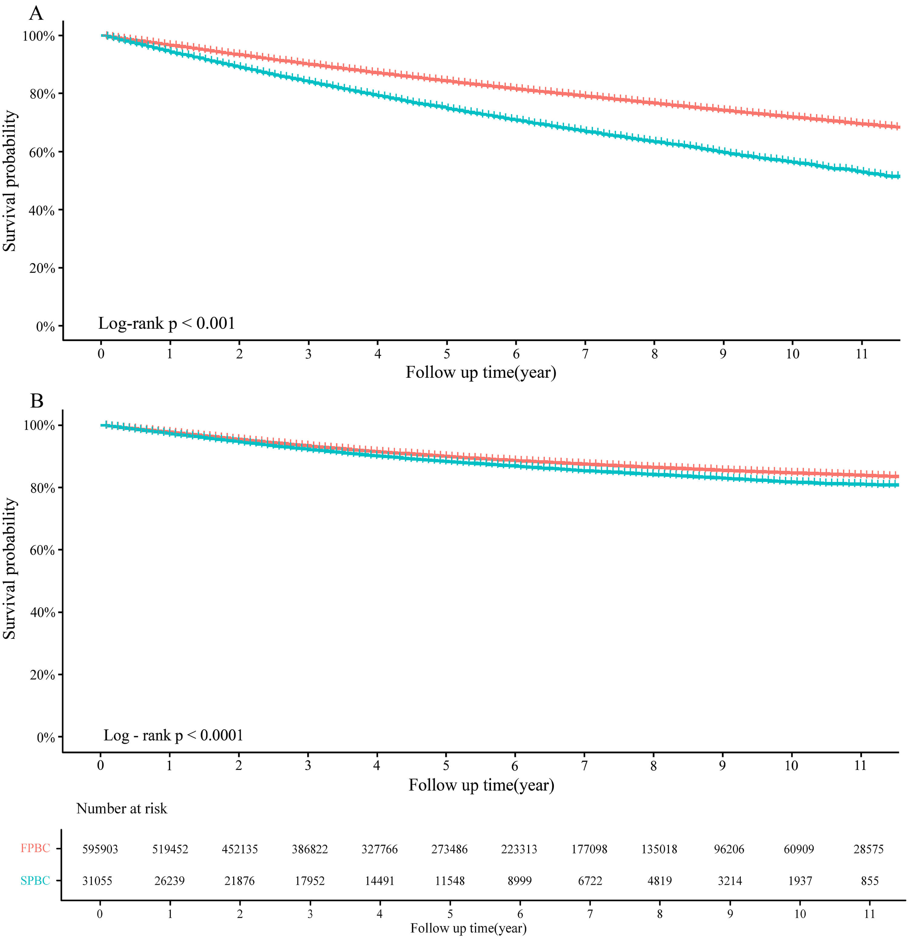
We found that the OS rate of SPBC patients was significantly lower than that of
FPBC patients, and the trend for CSS closely mirrored that of OS (p
Fig. 3.
KM survival curves comparing FPBC and SPBC patients. (A) OS. (B) CSS. The analysis demonstrated that SPBC patients experienced
significantly poorer OS (p
The analysis indicated that factors such as age, race, marital status, year of diagnosis, primary site, grade, SEER stage, histologic type, breast subtype, chemotherapy, surgical approach, and radiation therapy were independent prognostic factors influencing long-term survival in both FPBC and SPBC patients. According to Table 2, we observed that, regardless of whether it was FPBC or SPBC, patients who received chemotherapy had a lower risk of all-cause mortality compared to those who did not undergo chemotherapy. Similarly, patients who underwent surgery had a lower mortality risk than those who did not. Patients who received BCS had a lower mortality risk than those who underwent mastectomy. Additionally, patients who received radiation therapy had a lower mortality risk than those who did not. When the primary site of the first primary cancer in SPBC patients was the lung, the risk of all-cause mortality was significantly higher (HR = 2.06).
| Variables | FPBC | SPBC | |||
| HR (95% CI) | p | HR (95% CI) | p | ||
| Age | 1.05 (1.05–1.05) | 1.05 (1.04–1.05) | |||
| Race | |||||
| White | Ref | Ref | |||
| Black | 1.28 (1.25–1.30) | 1.21 (1.12–1.30) | |||
| Other | 0.77 (0.75–0.78) | 0.88 (0.80–0.97) | 0.009 | ||
| Marital status | |||||
| Single | Ref | Ref | |||
| Married | 0.69 (0.68–0.70) | 0.74 (0.69–0.80) | |||
| Unknown | 0.94 (0.92–0.96) | 0.95 (0.88–1.02) | 0.137 | ||
| Diagnosis year | |||||
| 2010–2015 | Ref | Ref | |||
| 2016–2021 | 0.97 (0.96–0.99) | 0.88 (0.83–0.93) | |||
| Primary site | |||||
| Nipple | 1.09 (1.01–1.19) | 0.039 | 1.04 (0.80–1.35) | 0.785 | |
| Central portion of breast | 1.09 (1.06–1.13) | 1.07 (0.97–1.19) | 0.190 | ||
| Upper-inner quadrant of breast | 1.00 (0.98–1.03) | 0.711 | 0.99 (0.91–1.07) | 0.782 | |
| Lower-inner quadrant of breast | 1.04 (1.01–1.07) | 0.019 | 1.10 (0.99–1.22) | 0.071 | |
| Upper-outer quadrant of breast | Ref | Ref | |||
| Lower-outer quadrant of breast | 0.98 (0.95–1.00) | 0.090 | 0.97 (0.88–1.07) | 0.554 | |
| Axillary tail of breast | 0.92 (0.84–1.01) | 0.073 | 1.06 (0.81–1.38) | 0.686 | |
| Overlapping lesion of breast | 1.05 (1.03–1.07) | 1.06 (1.00–1.13) | 0.060 | ||
| Breast, NOS | 1.18 (1.16–1.20) | 1.17 (1.09–1.26) | |||
| Laterality | |||||
| Left-origin of primary | Ref | Ref | |||
| Right-origin of primary | 0.98 (0.97–0.99) | 0.003 | 0.99 (0.94–1.03) | 0.552 | |
| Other | 1.04 (1.00–1.09) | 0.070 | 1.07 (0.90–1.28) | 0.433 | |
| Grade | |||||
| I | Ref | Ref | |||
| II | 1.19 (1.16–1.21) | 1.12 (1.05–1.21) | |||
| III | 1.69 (1.65–1.73) | 1.51 (1.39–1.63) | |||
| IV | 2.00 (1.70–2.35) | 2.19 (1.38–3.46) | |||
| Unknown | 1.23 (1.20–1.26) | 1.06 (0.98–1.15) | 0.140 | ||
| SEER stage | |||||
| Distant | 5.79 (5.66–5.92) | 3.60 (3.30–3.93) | |||
| Localized | Ref | Ref | |||
| Regional | 2.05 (2.01–2.08) | 1.65 (1.56–1.75) | |||
| Unknown | 1.78 (1.71–1.85) | 1.35 (1.18–1.54) | |||
| Histologic | |||||
| IDC | Ref | Ref | |||
| IDLC | 0.95 (0.92–0.98) | 0.98 (0.89–1.08) | 0.741 | ||
| ILC | 1.00 (0.98–1.02) | 0.889 | 0.99 (0.92–1.06) | 0.788 | |
| Other | 1.08 (1.06–1.10) | 1.08 (1.02–1.15) | 0.013 | ||
| Breast Subtype | |||||
| HER2 enriched | 1.04 (1.01–1.07) | 0.027 | 1.22 (1.08–1.39) | 0.001 | |
| Luminal A | Ref | Ref | |||
| Luminal B | 0.90 (0.88–0.92) | 1.05 (0.96–1.15) | 0.277 | ||
| Triple-negative | 1.89 (1.85–1.92) | 1.69 (1.57–1.82) | |||
| Unknown | 1.13 (1.10–1.16) | 1.15 (1.07–1.24) | |||
| Chemotherapy | |||||
| No/unknown | Ref | Ref | |||
| Yes | 0.86 (0.85–0.87) | 0.90 (0.85–0.96) | 0.001 | ||
| Surgery | |||||
| BCS | Ref | Ref | |||
| Mastectomy | 1.31 (1.28–1.33) | 1.08 (1.02–1.15) | 0.010 | ||
| None | 3.05 (2.99–3.12) | 2.85 (2.64–3.08) | |||
| Surgery (NOS) | 2.00 (1.85–2.17) | 1.32 (0.96–1.80) | 0.085 | ||
| Radiation | |||||
| None | Ref | Ref | |||
| Yes | 0.61 (0.59–0.63) | 0.72 (0.63–0.83) | |||
| Unknown | 0.76 (0.73–0.79) | 1.03 (0.90–1.17) | 0.669 | ||
| Clinicopathological features of first primary cancer (in SPBC patients) | |||||
| Primary site | |||||
| Breast | / | / | Ref | ||
| Digestive system | / | / | 1.29 (1.19–1.39) | ||
| Female genital system | / | / | 1.04 (0.96–1.12) | 0.340 | |
| Lung and bronchus | / | / | 2.06 (1.88–2.27) | ||
| Lymphoma | / | / | 1.16 (1.05–1.30) | 0.005 | |
| Skin excluding basal and squam | / | / | 0.87 (0.78–0.98) | 0.020 | |
| Urinary system | / | / | 1.17 (1.06–1.29) | 0.002 | |
| Other | / | / | 1.28 (1.18–1.38) | ||
| Radiation | |||||
| None | / | / | Ref | ||
| Yes | / | / | 1.08 (0.86–1.35) | 0.517 | |
| Unknown | / | / | 0.99 (0.79–1.24) | 0.916 | |
Ref, reference; HR, hazard ratio; CI, confidence interval. 95% CIs are rounded to two decimal places for presentation. The 95% CIs for Age appear with identical lower and upper limits due to rounding.
As shown in Table 3, regardless of whether the patient had chemotherapy, there was no significant difference in cancer-specific mortality between chemotherapy and non-chemotherapy patients in both FPBC and SPBC groups. Surgery was associated with a lower risk of mortality compared to no surgery, and BCS was associated with a lower risk than mastectomy. Similarly, radiation therapy was associated with a lower mortality risk compared to no radiation. Additionally, when the primary site of the first primary cancer in SPBC patients was the breast, the risk of cancer-specific mortality was higher.
| Variables | FPBC | SPBC | |||
| HR (95% CI) | p | HR (95% CI) | p | ||
| Age | 1.02 (1.02–1.02) | 1.02 (1.01–1.02) | |||
| Race | |||||
| White | Ref | Ref | |||
| Black | 1.23 (1.20–1.26) | 1.07 (0.95–1.20) | 0.293 | ||
| Other | 0.82 (0.80–0.85) | 0.84 (0.72–0.97) | 0.021 | ||
| Marital status | |||||
| Single | Ref | Ref | |||
| Married | 0.77 (0.75–0.79) | 0.75 (0.67–0.84) | |||
| Unknown | 0.95 (0.93–0.98) | 0.91 (0.81–1.02) | 0.102 | ||
| Diagnosis year | |||||
| 2010–2015 | Ref | Ref | |||
| 2016–2021 | 0.86 (0.84–0.88) | 0.76 (0.70–0.83) | |||
| Primary site | |||||
| Nipple | 0.94 (0.83–1.07) | 0.344 | 0.54 (0.31–0.95) | 0.034 | |
| Central portion of breast | 1.09 (1.05–1.14) | 1.09 (0.92–1.28) | 0.321 | ||
| Upper–inner quadrant of breast | 1.03 (1.00–1.07) | 0.051 | 1.01 (0.87–1.16) | 0.929 | |
| Lower–inner quadrant of breast | 1.08 (1.03–1.13) | 1.03 (0.86–1.23) | 0.768 | ||
| Upper–outer quadrant of breast | Ref | Ref | |||
| Lower–outer quadrant of breast | 1.01 (0.97–1.05) | 0.591 | 0.95 (0.80–1.12) | 0.525 | |
| Axillary tail of breast | 1.03 (0.91–1.16) | 0.670 | 0.99 (0.66–1.50) | 0.965 | |
| Overlapping lesion of breast | 1.06 (1.03–1.09) | 1.12 (1.01–1.24) | 0.042 | ||
| Breast, NOS | 1.26 (1.23–1.29) | 1.17 (1.04–1.30) | 0.008 | ||
| Laterality | |||||
| Left–origin of primary | Ref | Ref | |||
| Right–origin of primary | 0.99 (0.97–1.01) | 0.193 | 0.98 (0.91–1.06) | 0.631 | |
| Other | 1.12 (1.05–1.20) | 0.93 (0.73–1.19) | 0.565 | ||
| Grade | |||||
| I | Ref | Ref | |||
| II | 1.76 (1.69–1.82) | 1.73 (1.49–1.99) | |||
| III | 2.90 (2.79–3.02) | 2.59 (2.21–3.02) | |||
| IV | 3.62 (2.85–4.61) | 3.37 (1.77–6.43) | |||
| Unknown | 1.89 (1.82–1.97) | 1.57 (1.34–1.83) | |||
| SEER stage | |||||
| Distant | 11.01 (10.64–11.38) | 6.84 (5.97–7.84) | |||
| Localized | Ref | Ref | |||
| Regional | 3.24 (3.16–3.32) | 2.58 (2.35–2.83) | |||
| Unknown | 3.15 (2.99–3.32) | 2.48 (2.03–3.03) | |||
| Histologic | |||||
| IDC | Ref | Ref | |||
| IDLC | 1.02 (0.98–1.07) | 0.331 | 1.12 (0.96–1.29) | 0.150 | |
| ILC | 1.14 (1.10–1.17) | 1.17 (1.04–1.30) | 0.007 | ||
| Other | 1.06 (1.03–1.09) | 1.04 (0.94–1.16) | 0.465 | ||
| Breast Subtype | |||||
| HER2 enriched | 1.03 (0.99–1.08) | 0.137 | 1.40 (1.17–1.69) | ||
| Luminal A | Ref | Ref | |||
| Luminal B | 0.86 (0.83–0.89) | 1.04 (0.90–1.19) | 0.628 | ||
| Triple–negative | 2.22 (2.16–2.28) | 2.06 (1.82–2.32) | |||
| Unknown | 1.23 (1.19–1.28) | 1.23 (1.08–1.39) | 0.002 | ||
| Chemotherapy | |||||
| No/Unknown | Ref | Ref | |||
| Yes | 0.98 (0.96–1.00) | 0.096 | 1.05 (0.96–1.16) | 0.287 | |
| Surgery | |||||
| BCS | Ref | Ref | |||
| Mastectomy | 1.65 (1.61–1.69) | 1.54 (1.39–1.72) | |||
| None | 3.91 (3.78–4.05) | 3.71 (3.23–4.26) | |||
| Surgery (NOS) | 2.93 (2.67–3.23) | 2.37 (1.57–3.60) | |||
| Radiation | |||||
| None | Ref | Ref | |||
| Yes | 0.59 (0.56–0.62) | 0.66 (0.53–0.83) | |||
| Unknown | 0.61 (0.58–0.64) | 0.72 (0.58–0.90) | 0.003 | ||
| Clinicopathological features of first primary cancer (in SPBC Patients) | |||||
| Primary site | |||||
| Breast | / | / | Ref | ||
| Digestive System | / | / | 0.72 (0.63–0.81) | ||
| Female Genital System | / | / | 0.69 (0.61–0.78) | ||
| Lung and Bronchus | / | / | 0.71 (0.58–0.87) | ||
| Lymphoma | / | / | 0.70 (0.59–0.84) | ||
| Skin excluding Basal and Squam | / | / | 0.61 (0.51–0.73) | ||
| Urinary System | / | / | 0.67 (0.57–0.80) | ||
| Other | / | / | 0.76 (0.67–0.85) | ||
| Radiation | |||||
| None | / | / | Ref | ||
| Yes | / | / | 1.01 (0.71–1.42) | 0.969 | |
| Unknown | / | / | 0.99 (0.70–1.39) | 0.943 | |
We selected grade, SEER stage, breast subtype, and histologic type as categorical variables to evaluate their impact on FPBC and SPBC. The influence of these features on the survival outcomes of FPBC and SPBC patients was systematically analyzed.
The analysis of OS revealed distinct patterns associated with treatment modalities in both FPBC and SPBC patients (Supplementary Tables 9–12). In general, BCS was associated with a significantly lower risk of all-cause mortality compared to mastectomy or no surgery across most patient subgroups. A notable exception was observed in grade IV FPBC patients, where no significant survival benefit for BCS was detected. Similarly, radiation therapy consistently conferred a survival advantage compared to no radiation. Furthermore, the combination of surgery and radiation therapy was superior to either treatment alone in most cases, except within the distant-stage SPBC subgroup.
When comparing the two cohorts, the survival benefit of specific treatments was
more heterogeneous among SPBC patients. For instance, a significant advantage for
BCS over mastectomy was primarily observed in specific subgroups (e.g., grade
III, regional stage, and HER2-enriched subtypes). The benefit of radiation
therapy was widespread in SPBC patients; however, a critical exception was found
in the distant-stage subgroup, where radiation was associated with a
significantly increased mortality risk (HR = 1.71). The combined modality
approach remained beneficial in multiple SPBC subgroups, including grade II/III,
localized/regional stages, and luminal A subtypes. After propensity score
matching, 1:1 paired comparisons between BCS and mastectomy were achieved with
adequate covariate balance (standardized mean differences
The impact of treatments on CSS closely mirrored the trends observed for OS (Supplementary Tables 13–16). For FPBC patients, BCS, radiation therapy, and their combination were consistently associated with a lower risk of BC-specific mortality across the vast majority of subgroups. The only exception was again observed in grade IV tumors, where the survival benefits of BCS and radiation were not statistically significant.
In SPBC patients, the survival advantage of BCS was more widely evident across CSS endpoints compared to OS, benefiting numerous subgroups including luminal A, triple-negative, and various histologic types. The protective effect of radiation therapy on CSS was confirmed in key subgroups such as grade II/III, localized/regional stages, and luminal A subtype. The superior outcomes for the combination of surgery and radiation were also confirmed in several prominent SPBC subgroups.
This study provides an in-depth analysis of the survival differences and associated risk factors in FPBC and SPBC patients. The results demonstrated that both the OS and CSS rates of SPBC patients were significantly lower than those of FPBC patients. SPBC patients exhibit higher risks for both all-cause mortality and cancer-specific mortality. This finding suggests that SPBC patients differ significantly from FPBC patients in terms of biological characteristics, treatment response, and prognosis, and may require more individualized clinical management strategies.
Studies have shown that tumor cells in SPBC display greater diversity in genetic mutations, phenotypic alterations [14], and drug resistance, which limits treatment options and results in poorer treatment responses in SPBC patients [15]. This suboptimal treatment response may be one of the key reasons for the poorer prognosis in SPBC patients. At the molecular level, the acquired treatment resistance in SPBC can be attributed to mechanisms such as the selection of pre-existing resistant clones under therapeutic pressure, upregulation of drug efflux pumps (e.g., P-glycoprotein [16]), activation of alternative survival pathways (e.g., phosphoinositide 3-kinase/protein kinase B (AKT)/mammalian target of rapamycin [17]), and alterations in the tumor microenvironment that impair drug delivery and efficacy [18]. Clinically, SPBC patients often face the long-term effects of early treatment-related side effects [19], which can diminish the effectiveness of subsequent therapies. For example, prior radiotherapy and chemotherapy may lead to a decline in immune function, bone marrow reserve compromising subsequent chemotherapy tolerance, and cardiovascular or pulmonary toxicities that limit treatment options [20]. Furthermore, prolonged prior chemotherapy can induce drug-resistant tumor populations [21], which, coupled with cumulative toxicities, severely limits subsequent treatment options. The translational implication of these mechanisms underscores the necessity for re-biopsy and comprehensive molecular profiling at the time of SPBC diagnosis to identify targetable alterations and guide the selection of non-cross-resistant regimens.
Multivariate Cox regression analysis revealed several significant factors influencing all-cause mortality risk in SPBC patients, including higher tumor grade, advanced SEER stage, histologic type, and BC subtype. Among these, higher tumor grade, advanced SEER stage (particularly distant metastasis), IDC, and triple-negative BC (TNBC) were identified as major risk factors for poor survival in SPBC patients. Notably, TNBC, which lacks the expression of ER, PR, and HER2, has limited treatment options and typically shows poor response to chemotherapy. As a result, TNBC is associated with greater aggressiveness and a higher mortality risk [22]. This subtype of BC demonstrates a more aggressive course following recurrence, often requiring more intensive and diverse therapeutic strategies. Furthermore, the impact of tumor staging (SEER stage) on survival in SPBC patients should not be overlooked. Advanced SEER stage generally indicates that the tumor has metastasized distantly, thus increasing the difficulty of treatment and the patient’s mortality risk. By contrast, FPBC patients tend to have a better prognosis, particularly in the early stages of BC, where the tumor is typically localized and more amenable to surgical resection. Consequently, the generally more advanced stage at diagnosis and aggressive tumor biology contribute to the observed disparities in OS and CSS between FPBC and SPBC patients.
A particularly intriguing and clinically significant finding of our study was the profound influence of the first primary cancer site on SPBC outcomes. In SPBC patients with a primary cancer located in the lung, we observed a significant increase in all-cause mortality risk (HR = 2.06). This result suggests that SPBC patients with a primary lung cancer may face more complex biological characteristics and treatment challenges. We hypothesize that this may be related to the high heterogeneity and aggressiveness of lung cancer itself [23]. During the metastatic process, lung cancer cells might alter the tumor microenvironment, thereby creating conditions conducive to the development of BC [24]. The hypoxic environment and high levels of inflammation in the lung may promote the growth of BC cells [25]. These changes contribute to the increased all-cause mortality risk and the greater treatment difficulty in SPBC patients with lung cancer as their primary site. When the primary cancer occurs in the breast, SPBC patients exhibit a higher risk of cancer-specific mortality, which may be closely linked to the invasive characteristics of BC itself. BC, particularly TNBC and HER2-positive BC, is typically more aggressive and prone to recurrence. BC cells can rapidly disseminate through hematogenous or lymphatic routes, especially when the patient has already undergone initial treatment. In such cases, tumors may have accumulated resistance mutations, such as estrogen receptor 1 (ESR1) mutations in hormone receptor-positive disease leading to endocrine resistance, rendering subsequent treatments less effective [26]. Therefore, from a clinical management perspective, individualized treatment strategies should be employed for SPBC patients based on the site of the primary cancer, with special attention to the distinct molecular and clinical legacies of the prior malignancy [27].
Subsequently, we analyzed the clinical data of FPBC and SPBC patients from the SEER database and found that different types of BC respond differently to treatment regimens. For FPBC patients, the type of surgery had a particularly significant impact on OS and CSS. We found that, except for the grade IV subgroup, FPBC patients who underwent BCS had significantly lower all-cause and cancer-specific mortality risks compared to those who underwent mastectomy or did not undergo surgery. This result supports the conclusion from clinical studies that BCS in early-stage and locally advanced BC offers survival outcomes comparable to mastectomy, while also being associated with fewer complications and a higher quality of life [28, 29]. With the exception of the grade IV subgroup, FPBC patients who received radiation therapy had a lower mortality risk compared to those who did not undergo radiation. Furthermore, except for the SEER stage: distant subgroup, patients who received both surgery and radiation therapy had significantly longer survival compared to those who underwent only one treatment modality. This suggests that radiation therapy plays a crucial adjunctive role in the treatment of early to mid-stage FPBC by controlling postoperative local recurrence, reducing the risk of distant metastasis, and ultimately improving survival [30]. The advantage of combined therapy lies in the ability of both modalities to complement each other. For example, after BCS, potential residual microtumor cells can be effectively eradicated by radiation therapy, further reducing the risk of recurrence and mortality [31].
For SPBC patients, our analysis revealed that those who did not undergo surgery had significantly higher all-cause mortality risk compared to those who received surgical treatment. In the subgroups of grade III, SEER stage: regional, and HER2-enriched subgroups, SPBC patients who underwent BCS demonstrated a significant reduction in both all-cause and cancer-specific mortality risks compared to those who underwent mastectomy.
This result suggests that, for patients with these aggressive tumor characteristics, BCS may be associated with a survival advantage over mastectomy and could be considered a viable surgical option [32]. In grade II, grade III, localized, regional, luminal A, and IDC subgroups, patients who received radiation therapy had lower all-cause and cancer-specific mortality risks compared to those who did not receive radiation. These results indicate that radiation therapy can effectively control local recurrence and improve survival in early-stage and locally advanced BC patients [33, 34]. However, in the SEER stage: distant subgroup, we observed that radiation therapy was associated with a higher all-cause mortality risk (HR = 1.71). This phenomenon may be related to the biological characteristics and clinical treatment responses of metastatic BC. In advanced or metastatic BC patients, systemic dissemination may prevent radiation from effectively controlling distant metastasis, potentially leading to increased treatment toxicity [35]. Therefore, in the SEER stage: distant subgroup, the decision to use radiation therapy, as well as the choice of adjunctive treatments, requires careful and individualized consideration. In the grade II, grade III, regional, luminal A, and IDC subgroups, patients who received combined surgery and radiation therapy showed lower all-cause and cancer-specific mortality risks. For these populations, the combination of surgery and radiation therapy proved more effective than either treatment modality alone. This is particularly evident in luminal A-BC patients, where these findings are consistent with a previous study, which demonstrated the favorable prognosis of luminal A subtype in early diagnosis and treatment [36].
Based on these findings, the development of personalized treatment plans for SPBC patients should not be limited to traditional clinicopathological factors but rather adopt a multifaceted and integrated approach. This strategy should be initiated with a comprehensive assessment, including a detailed prior treatment history and mandatory re-biopsy for molecular profiling. This foundational evaluation is critical to avoid the reuse of ineffective agents and to promptly pivot therapeutic strategies in the face of acquired resistance (e.g., transitioning to alternative endocrine combinations or chemotherapy upon detecting ESR1 mutations [26]). In addition, local treatment strategies (surgery and radiotherapy) must be formulated based on a comprehensive assessment of current tumor burden and previous radiation fields. This study confirms that BCS remains beneficial and offers survival advantages for eligible patients. For advanced or metastatic SPBC, the treatment goals should focus on palliation, symptom control, and prolonging survival. In conclusion, future research dedicated specifically to SPBC is necessary to generate high-level evidence and establish standardized management guidelines for this complex patient population.
This study had several limitations inherent to the use of the SEER database. First, specific treatment details such as radiotherapy dose and other potential confounding factors could not be considered due to data recording constraints. Second, despite the overall large cohort, the statistical power for certain subgroup analyses was limited due to small sample sizes (e.g., grade IV SPBC, n = 33), which may render the corresponding HR estimates unstable; these results should therefore be interpreted with caution. Finally, although recurrences or metastases of the FPBC might be misclassified as subsequent second primary cancers, we adopted a conservative definition of SPBC by excluding patients with identical tumor location and histologic subtype and requiring a diagnostic interval of more than one year to mitigate this risk.
This study confirms that patients with SPBC have a significantly worse prognosis than those with FPBC. This survival disadvantage is primarily driven by a higher prevalence of aggressive tumor characteristics (e.g., triple-negative subtype and advanced stage) and a poorer response to standard treatments in the SPBC cohort. These findings underscore the critical need for tailored management strategies for SPBC, advocating for treatment plans that are informed by the unique clinicopathological landscape of these tumors to improve patient outcomes.
APC, annual percent change; BC, breast cancer; BCS, breast-conserving surgery; BIC, bayesian information criterion; CI, confidence interval; CSS, cancer-specific survival; ER, estrogen receptor; FPBC, first primary breast cancer; HER2, human epidermal growth factor receptor 2; HR, hazard ratio; IDC, infiltrating ductal carcinoma; IDLC, infiltrating duct carcinoma and lobular carcinoma; ILC, infiltrating lobular carcinoma; IPTW, inverse probability of treatment weighting; KM, Kaplan-Meier; NOS, not otherwise specified; OS, overall survival; PBC, primary breast cancer; PR, progesterone receptor; SEER, the Surveillance, Epidemiology, and End Results; SPBC, second primary breast cancer; TNBC, triple-negative breast cancer; SEER, Surveillance, Epidemiology, and End Results; ICD-O-3, International Classification of Diseases for Oncology, Third Edition; ESR1, estrogen receptor 1; AKT, protein kinase B.
The dataset used in this study was obtained from the Incidence–SEER Research Data (17 Registries, November 2023 Submission, 2000–2021), with case lists and related data extracted using SEER*Stat software. For full documentation and further details, the SEER*Stat database is available at: https://seer.cancer.gov/seerstat/. The data generated and analyzed in this study are available from the corresponding author upon reasonable request.
JC designed the research study. JC, XZ and YH performed the research. JC and XZ analyzed the data. All authors contributed to editorial changes in the manuscript. All authors read and approved the final manuscript. All authors have participated sufficiently in the work and agreed to be accountable for all aspects of the work.
Based on the open access policy of the SEER database, no formal ethical approval is required to access the data.
Not applicable.
This research was funded by the Quanzhou City Science & Technology Program of China (2024NY097), Quanzhou Medical College School-level project (XJK2217B).
The authors declare no conflict of interest.
During the preparation of this work the authors used DeepSeek in order to check spelling and grammar. After using this tool, the authors reviewed and edited the content as needed and take full responsibility for the content of the publication.
Supplementary material associated with this article can be found, in the online version, at https://doi.org/10.31083/CEOG45692.
References
Publisher’s Note: IMR Press stays neutral with regard to jurisdictional claims in published maps and institutional affiliations.



