1 Department of Obstetrics, Ezhou Central Hospital, 436000 Ezhou, Hubei, China
Abstract
To evaluate the feasibility and clinical utility of developing a risk prediction model for placental abruption among patients with severe preeclampsia, incorporating maternal age, baseline systolic blood pressure (SBP), baseline diastolic blood pressure (DBP), retroplacental hematoma width, placental growth factor (PlGF), and the soluble fms-like tyrosine kinase-1/PlGF factor (sFlt-1/PlGF) ratio.
This retrospective study enrolled 260 patients with severe preeclampsia who were admitted to the hospital from January 2022 to October 2024. The cases were randomly divided into a training set (n = 182) and a validation set (n = 78) in a 7:3 ratio. The primary outcome was placental abruption. Clinical data, imaging parameters, and biomarker levels were collected. Univariate and multivariate logistic regression analyses were performed to identify independent risk factors. A nomogram was subsequently developed, and its predictive performance was evaluated and validated.
The incidence of placental abruption was 35.16% (64/182) in the training set and 33.33% (26/78) in the validation set. Multivariate logistic regression analysis identified age, baseline SBP, baseline DBP, retroplacental hematoma width, PlGF, and the sFlt-1/PlGF ratio as independent risk factors (all p < 0.05). The nomogram demonstrated good discriminative ability, with C-index values of 0.890 and 0.848 in the training and validation sets, respectively. The area under the curve (AUC) was 0.890 (95% confidence interval [CI]: 0.827–0.953) and 0.848 (95% CI: 0.733–0.963), respectively. Sensitivity was 0.766 in the training set and 0.588 in the validation set, whereas specificity was 0.890 and 0.944, respectively. Calibration curves showed excellent agreement between predicted and observed outcomes. The Hosmer-Lemeshow test yielded p-values of 0.583 and 0.290, respectively, suggesting good model fit.
The nomogram model, incorporating age, baseline SBP, baseline DBP, retroplacental hematoma width, PlGF, and sFlt-1/PlGF ratio effectively predicted the risk of placental abruption in patients with severe preeclampsia. This model may support early clinical intervention. However, the use of single-center data and lack of external validation limit its generalizability, highlighting the need for further verification through multicenter studies.
Keywords
- severe preeclampsia
- placental abruption
- prediction model
- imaging
- biomarkers
- PlGF
- sFlt-1/PlGF ratio
Severe preeclampsia is a pregnancy-specific complication characterized by hypertension, proteinuria, and multi-organ dysfunction. Its global incidence ranges from approximately 2% to 8%, significantly contributing to adverse maternal and fetal outcomes [1, 2, 3]. Placental abruption, a severe complication of preeclampsia, occurs in 0.4%–2.3% of cases. It can result in fetal distress, preterm birth, stillbirth, maternal hemorrhage, and a three- to five-fold increase in perinatal mortality [4, 5]. A study indicates that placental abruption in severe preeclampsia is closely related to placental ischemia-hypoxia and vascular endothelial injury [6]. However, the pathogenesis remains complex, making clinical prediction challenging [7, 8].
Currently, clinical prediction of placental abruption mainly depends on single indicators, such as ultrasound detection of retroplacental hematoma or biomarkers like placental growth factor (PlGF) and soluble fms-like tyrosine kinase-1 (sFlt-1). However, the predictive performance of these indicators alone remains limited [9]. For instance, decreased PlGF levels indicate placental insufficiency, but their sensitivity alone ranges from 60% to 70%. Similarly, ultrasound detection of retroplacental hematoma depends greatly on examination timing and operator experience [10]. Although clinical factors (e.g., blood pressure and maternal age) have demonstrated associations with placental abruption, existing studies have not integrated imaging markers, clinical biomarkers, and baseline characteristics into a unified predictive model. This gap limits the accuracy of early risk assessment in clinical practice. For example, one previous study developed a predictive model for placental abruption in preeclampsia patients [11] but included only clinical parameters and partial biomarkers, excluding imaging indicators such as retroplacental hematoma width [4]. In contrast, our study integrates multiple indicators, including age, baseline blood pressure (clinical indicators), retroplacental hematoma width (imaging indicator), and PlGF and sFlt-1/PlGF ratio (molecular biomarkers). This approach comprehensively covers the key aspects of placental abruption pathogenesis and enhances predictive accuracy [12]. A study has also emphasized the importance of integrating multiple indicators to improve prediction performance, further supporting our model construction strategy [13].
With advances in precision obstetrics, the development of multidimensional predictive models has become essential to improving maternal and neonatal outcomes. This study aims to establish a nomogram-based predictive model by analyzing interactions among maternal age, blood pressure indices, placental imaging features, and biomarkers. This model provides a reliable tool for the early identification and intervention of placental abruption in patients with severe preeclampsia, ultimately reducing the risk of adverse pregnancy outcomes.
This retrospective study enrolled 260 patients with severe preeclampsia between
January 2022 and October 2024 in our hospital. The inclusion criteria were: (1)
diagnosis of severe preeclampsia, defined as systolic blood pressure (SBP)
Patients were allocated randomly using a complete randomization method. Specifically, SPSS (version 26.0, IBM Corp., Armonk, NY, USA), R (version 4.2.3, R Foundation for Statistical Computing, Vienna, Austria) were employed to generate random numbers (ranging from 0 to 1) for each eligible patient. Patients were then sorted in ascending order. The first 70% (n = 182) were assigned to the training set, and the remaining 30% (n = 78) formed the validation set [4]. This method ensured comparability of baseline characteristics (age, gestational age, blood pressure) between groups, thereby minimizing selection bias. The hospital ethics committee approved the study, and informed consent was obtained from all participants.
Sample size calculation was conducted before starting the study, based on the
number of independent predictors and the expected event rate. A general rule for
logistic regression is to have at least 10 events (cases of placental abruption)
per independent variable. In this study, six independent predictors were
included. Considering a significance level (
Placental abruption was diagnosed based on: (1) Clinical symptoms of sudden, persistent abdominal or back pain, with or without vaginal bleeding, possibly progressing to shock; (2) Ultrasound findings of retroplacental hematoma (hypoechoic area between placenta and uterine wall), placental thickening, or marginal elevation; (3) Postpartum placental examination revealing maternal-side clots or indentations. Diagnosis required either criteria (1) and (2) or (1) and (3) [14].
Demographic and clinical data collected included age, gestational age, gravidity, parity, body mass index (BMI), family history of hypertension, and diabetes. Baseline SBP and baseline DBP were measured upon admission. Ultrasound assessments included placental thickness and retroplacental hematoma width, if present. Biomarker analyses included: (1) PlGF and sFlt-1 measured by enzyme-linked immunosorbent assay (ELISA) using kits (PlGF kit lot number: PLG-202205; sFlt-1 kit lot number: sFLT-202206; R&D Systems, Minneapolis, MN, USA), with calculation of the sFlt-1/PlGF ratio; (2) D-dimer levels measured via clotting assays using a D-dimer clotting assay kit (lot number: DD-202207; Siemens Healthineers, Erlangen, Germany) (3) Platelet count measured using an automated hematology analyzer (Model: XN-9000; Sysmex Corporation, Kobe, Japan); (4) Serum creatinine and serum alanine aminotransferase (ALT) measured by biochemical assays. All procedures were strictly followed by the manufacturer’s protocols. Due to the limited scope of data collection in this single-center study, uterine artery pulsatility index (PI) and coagulation function markers (e.g., prothrombin time) were not included. These indicators will be included in future expanded studies to enhance the comprehensiveness of the model.
Data were analyzed using SPSS (version 26.0, IBM Corp., Armonk, NY, USA), R (version 4.2.3,
R Foundation for Statistical Computing, Vienna, Austria). Continuous variables were expressed as mean
A total of 260 patients with severe preeclampsia were enrolled and divided into
a training set (n = 182) and a validation set (n = 78). No significant
differences (all p
| Indicators | Training set (n = 182) | Validation set (n = 78) | t/ |
p |
| Age (years) | 28.69 |
29.52 |
1.385 | 0.167 |
| Gestational age (weeks) | 33.05 |
33.21 |
0.529 | 0.598 |
| Gravidity (times) | 2.00 (1.00, 3.00) | 2.00 (1.00, 3.00) | 0.752 | 0.452 |
| Parity (times) | 1.00 (0.00, 2.00) | 1.00 (0.00, 2.00) | 0.489 | 0.625 |
| BMI (kg/m2) | 25.56 |
25.85 |
0.675 | 0.501 |
| Baseline SBP (mmHg) | 167.05 |
164.32 |
1.899 | 0.059 |
| Baseline DBP (mmHg) | 105.41 |
107.52 |
1.787 | 0.075 |
| Family history of hypertension (yes/no) | 42/140 (23.08/76.92) | 25/53 (32.05/67.95) | 2.299 | 0.129 |
| Diabetes history (yes/no) | 28/154 (15.38/84.62) | 18/60 (23.08/76.92) | 2.219 | 0.136 |
| Placental thickness (mm) | 35.71 |
36.52 |
1.203 | 0.231 |
| Retroplacental hematoma width (mm) | 14.73 |
13.98 |
1.886 | 0.061 |
| PlGF (pg/mL) | 107.51 |
109.52 |
0.507 | 0.613 |
| sFlt-1/PlGF ratio | 67.13 |
68.32 |
1.056 | 0.292 |
| D-dimer (mg/L) | 2.98 |
3.01 |
0.355 | 0.723 |
| Platelet count (×109/L) | 118.53 |
115.65 |
0.525 | 0.601 |
| Serum creatinine (µmol/L) | 86.66 |
88.56 |
1.058 | 0.291 |
| Serum ALT (U/L) | 57.71 |
58.65 |
0.398 | 0.691 |
BMI, body mass index; SBP, systolic blood pressure; DBP, diastolic blood pressure; PlGF, placental growth factor; sFlt-1/PlGF, soluble fms-like tyrosine kinase-1/placental growth factor; ALT, alanine aminotransferase.
Statistically, this table verifies the absence of significant baseline
differences (all p
In the training cohort, placental abruption occurred in 64 patients (35.16%),
while 118 patients (64.84%) did not experience this complication. In the validation set, placental abruption occurred in 26 patients (33.33%). Univariate
analysis indicated statistically significant differences (p
| Indicators | Placental abruption group (n = 64) | Non-abruption group (n = 118) | t/ |
p |
| Age (years) | 30.25 |
27.85 |
3.613 | 0.001 |
| Gestational age (weeks) | 32.85 |
33.16 |
0.929 | 0.354 |
| Gravidity (times) | 2.00 (1.00, 3.00) | 2.00 (1.00, 3.00) | 0.915 | 0.360 |
| Parity (times) | 1.00 (0.00, 2.00) | 1.00 (0.00, 2.00) | 1.183 | 0.237 |
| BMI (kg/m2) | 26.12 |
25.25 |
1.785 | 0.076 |
| Baseline SBP (mmHg) | 170.36 |
165.25 |
3.258 | 0.001 |
| Baseline DBP (mmHg) | 108.25 |
103.85 |
3.425 | 0.001 |
| Family history of hypertension (yes/no) | 15/49 (23.44/76.56) | 27/91 (22.88/77.12) | 0.007 | 0.932 |
| Diabetes history (yes/no) | 10/54 (15.63/84.37) | 18/100 (15.25/84.75) | 0.004 | 0.947 |
| Placental thickness (mm) | 36.05 |
35.52 |
0.681 | 0.497 |
| Retroplacental hematoma width (mm) | 16.36 |
13.85 |
5.961 | 0.001 |
| PlGF (pg/mL) | 98.56 |
112.36 |
3.113 | 0.002 |
| sFlt-1/PlGF ratio | 79.65 |
68.52 |
7.162 | 0.001 |
| D-dimer (mg/L) | 3.12 |
2.88 |
1.913 | 0.057 |
| Platelet count (×109/L) | 115.36 |
120.25 |
0.785 | 0.434 |
| Serum creatinine (µmol/L) | 89.15 |
85.32 |
1.849 | 0.066 |
| Serum ALT (U/L) | 61.16 |
55.85 |
1.939 | 0.054 |
The statistical purpose of Table 2 is to screen potential risk factors for
placental abruption (variables with p
Placental abruption (yes = 1, no = 0) was defined as the dependent variable.
Variables with p
| Indicators | SE | Wald | p | OR | 95% CI | |
| Age | 0.074 | 0.046 | 2.516 | 0.013 | 1.076 | 1.008–1.150 |
| PlGF | –0.018 | 0.007 | 6.149 | 0.013 | 0.982 | 0.969–0.996 |
| Baseline SBP | 0.051 | 0.021 | 5.789 | 0.016 | 1.052 | 1.009–1.096 |
| Baseline DBP | 0.075 | 0.028 | 7.323 | 0.007 | 1.078 | 1.021–1.138 |
| Retroplacental hematoma width | 0.278 | 0.077 | 13.150 | 0.001 | 1.320 | 1.136–1.534 |
| sFlt-1/PlGF ratio | 0.096 | 0.022 | 18.442 | 0.001 | 1.100 | 1.053–1.149 |
SE, standard error; OR, odds ratio; CI, confidence interval.
A nomogram was constructed based on the independent risk factors identified by
multivariate logistic regression analysis. Each variable was assigned a score
corresponding to its regression coefficient. The total score predicts the
probability of placental abruption (Fig. 1). A higher total score indicates a
higher predicted risk. Variable importance, determined by the absolute value of
regression coefficients, ranked as follows: retroplacental hematoma width
(
Fig. 1.
Nomogram prediction model for placental abruption in patients with severe preeclampsia. Note: Each axis represents different variable values. To predict a patient’s risk, identify each variable’s specific value on its axis, sum the points, and locate the corresponding probability of placental abruption on the “Risk Axis” based on the total score. The arrows in the nomogram serve as a visual bridge, linking patient indicators to their corresponding scores, and then converting the total score into a predicted probability of placental abruption, enabling rapid risk assessment without complex calculations.
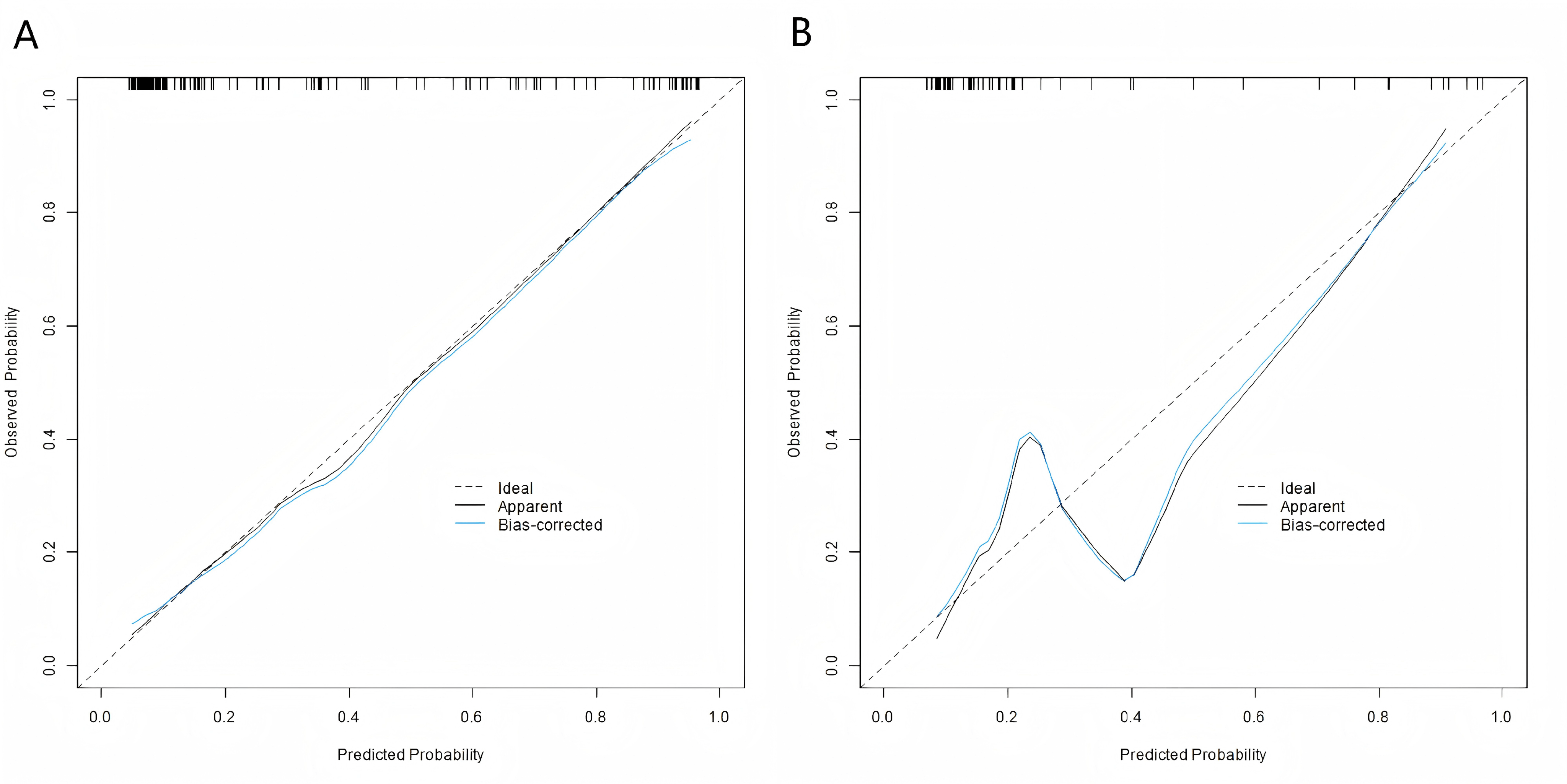
In the training set, the nomogram demonstrated a C-index of 0.890, and the Hosmer-Lemeshow test yielded a p-value of 0.583, indicating good model fit. Bootstrap validation with 1000 resamples resulted in a C-index of 0.872, suggesting good model stability and no significant overfitting. The ROC curve revealed an AUC of 0.890 (95% CI: 0.827–0.953), with a sensitivity of 0.766 and specificity of 0.890. In the validation set, the C-index was 0.848, with a Hosmer-Lemeshow test p-value of 0.290. The AUC was 0.848 (95% CI: 0.733–0.963), with a sensitivity of 0.588 and specificity of 0.944. Calibration and ROC curves are shown in Figs. 2,3.
Fig. 2.
Calibration curves in the training set (A) and validation set (B).
Fig. 3.
Receiver operating characteristic (ROC) curves in the training set (A) and validation set (B). AUC, area under the curve.
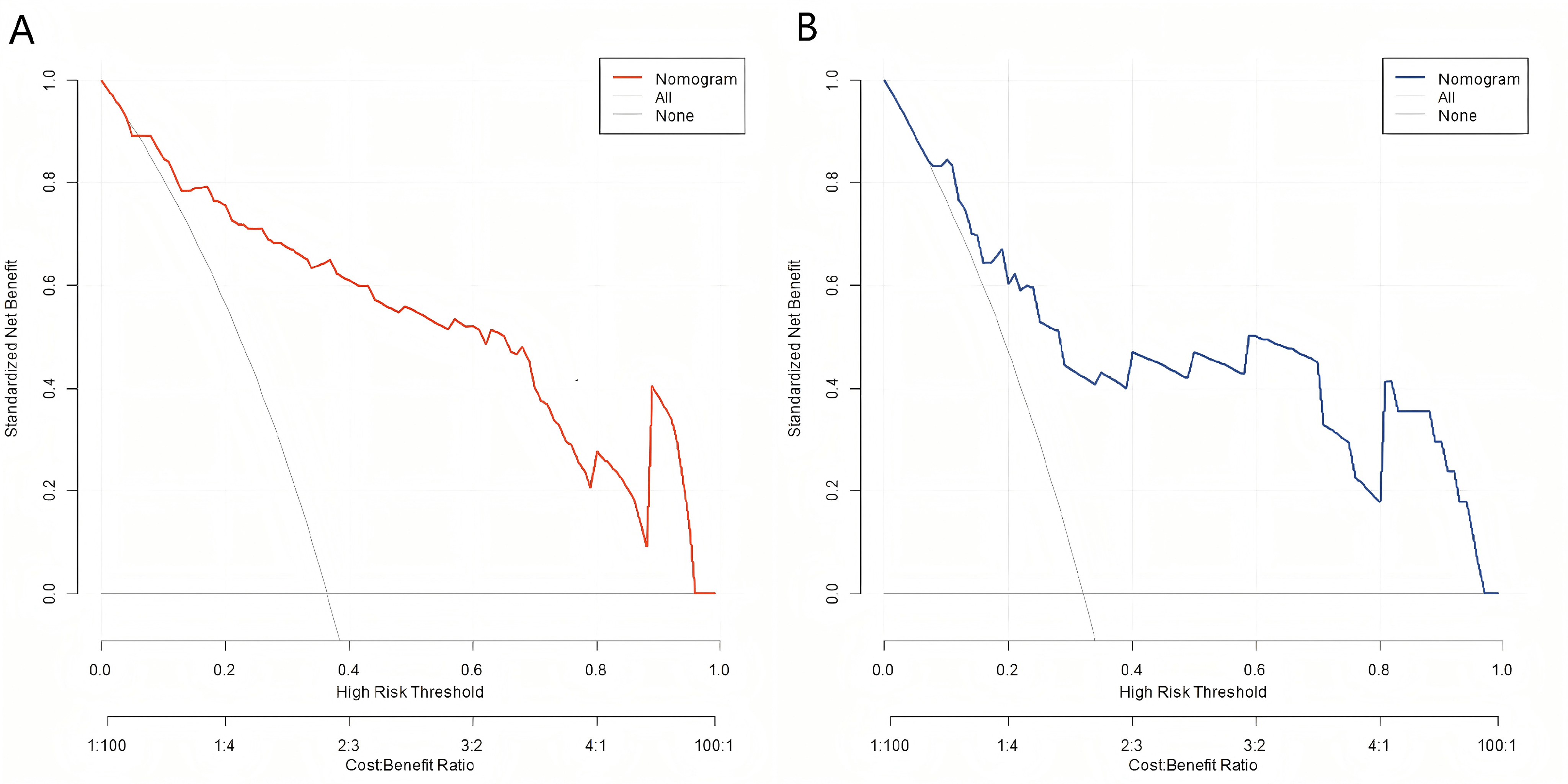
Decision curve analysis indicated that applying the nomogram model to predict placental abruption provided optimal net benefit when the threshold probability ranged between 0.10 and 0.95 (Fig. 4).
Fig. 4.
Decision curves in the training set (A) and validation set (B).
In recent years, severe preeclampsia, a high-risk pregnancy-specific complication, has received considerable attention due to its association with placental abruption [15]. The global incidence of severe preeclampsia ranges from 2% to 8%. Placental abruption, one of its most severe complications, occurs in 0.4%–2.3% of pregnancies, increasing perinatal mortality by three- to five-fold. It can result in severe consequences, such as fetal distress and significant maternal hemorrhage [16, 17, 18].
Currently, clinical prediction of placental abruption mainly relies on single indicators, such as ultrasound detection of retroplacental hematoma or biomarkers like PlGF and sFlt-1. However, these methods have significant limitations. For instance, the sensitivity of PlGF alone is only 60%–70%, limiting its effectiveness in early risk identification. Additionally, ultrasound examinations are subjective, influenced by operator experience and timing. Although clinical factors such as blood pressure are related to placental abruption, there remains a lack of quantitative risk prediction models [19]. This single-dimensional approach hinders precise early intervention, potentially causing clinicians to miss the critical period for improving maternal and fetal outcomes.
To address this issue, our study integrated multiple indicators, including age, baseline blood pressure, retroplacental hematoma width, and sFlt-1/PlGF ratio, to construct a nomogram prediction model. The results demonstrated that the model achieved a C-index of 0.890 in the training set and 0.848 in the validation set, with an AUC greater than 0.84 in both sets. The model also showed excellent sensitivity and specificity, confirming the feasibility and superiority of multi-indicator integration. This provides clinicians with a new quantitative tool for early intervention and risk stratification of placental abruption in patients with severe preeclampsia.
The comprehensive predictive model developed in this study, integrating imaging and clinical biomarkers, overcomes the limitations of traditional single-indicator models. It highlights the advantages of a multi-dimensional approach in the context of precision obstetrics. From a methodological standpoint, six independent risk factors were identified through univariate and multivariate logistic regression, encompassing demographic factors (age), clinical signs (blood pressure), imaging features (retroplacental hematoma width), and molecular markers (PlGF, sFlt-1/PlGF ratio). Thus, the model effectively integrates macro-level clinical characteristics and micro-level pathological indicators. This integrative model is scientifically robust because placental abruption involves multiple pathological mechanisms, including vascular endothelial injury, placental ischemia-hypoxia, and abnormal coagulation. Single indicators reflect only one aspect of the pathological process, whereas multiple combined indicators provide comprehensive coverage of disease progression. A study focused only on decreased PlGF levels, indicating placental insufficiency, and neglected the effects of increased blood pressure on placental hemodynamics [20]. By simultaneously including baseline systolic and DBP and PlGF, this model captures the cascade of “abnormal vascular pressure-insufficient placental perfusion-vascular endothelial injury”.
Regarding model performance, the nomogram achieved C-indexes of 0.890 and 0.848
in the training and validation sets, respectively. The AUC exceeded 0.84 in both
datasets, outperforming existing models based on single or limited combined
indicators. This finding aligns with the decision curve analysis, which showed
optimal net benefit when the threshold probability ranged between 0.10 and 0.95.
Thus, the model effectively identifies high-risk patients and reduces both
overtreatment and missed diagnoses, regardless of conservative or active
intervention thresholds. The visual presentation of the nomogram simplifies risk
assessment, enabling clinicians to directly obtain probabilities by summing
patient-specific indicator scores. This straightforward approach avoids complex
statistical calculations, making it particularly suitable for primary hospitals
or emergency settings. The “quantitative-visual” transformation addresses the
challenge of implementing traditional multi-factor models clinically. Compared
with a recent predictive model that incorporated only 4 predictors and achieved
an AUC of 0.81 in validation, our model integrates six multidimensional
predictors, achieving a superior AUC of 0.848 [21]. In recent years, artificial
intelligence (AI) and machine learning methods have increasingly been applied in
placental abruption prediction. For instance, a machine learning model based on
multiple clinical and imaging indicators achieved an AUC of 0.91 in training, but
its complexity limited its widespread use in primary hospitals [22]. In contrast,
our nomogram offers both strong predictive performance and clinical practicality,
enhancing its suitability for broader implementation. Clinically, this model was
validated among patients with severe preeclampsia at approximately 33 weeks’
gestation (training set: 33.05
Age, as an independent risk factor, can be explained by vascular aging. In this study, the mean age of patients with placental abruption was significantly higher than those without (30.25 vs. 27.85 years), with an odds ratio (OR) of 1.076, suggesting that each additional year of age increases the risk by 7.6%. This association may result from reduced vascular elasticity and degenerative changes in placental vessels in older pregnant women. Such changes impair the ability of the placenta to regulate blood flow, increasing susceptibility to abruption under stress conditions like hypertension. Additionally, older pregnant women are more likely to have chronic conditions. Although this study excluded patients with preexisting chronic diseases, pregnancy itself may heighten vascular endothelial sensitivity to damage, indirectly increasing the risk of placental abruption [23].
An increase in baseline systolic and DBP significantly predicts placental abruption (OR = 1.052 and OR = 1.078, respectively). This relationship arises from their direct impact on placental hemodynamics. Severe preeclampsia involves systemic small-vessel spasms, already reducing placental perfusion. Elevated baseline blood pressure further exacerbates ischemia in the placental intervillous space, facilitating the formation of a retroplacental hematoma. Additionally, sudden increases in blood pressure may directly rupture vessels at the placental attachment, triggering abruption [24]. Notably, the OR of DBP exceeds that of SBP. This indicates that increased peripheral vascular resistance (reflected by diastolic pressure) exerts a greater influence on placental microcirculation, explaining the priority placed on controlling DBP in preeclampsia management [12].
The width of retroplacental hematoma, the sole imaging indicator, had an OR of 1.320, underscoring the essential role of imaging in predicting placental abruption. Retroplacental hematoma detected by ultrasound provides direct imaging evidence of placental abruption. A larger width indicates a broader abruption area and an increased risk of fresh bleeding [25]. In this study, hematoma width in the abruption group was significantly greater than in the non-abruption group (16.36 mm vs. 13.85 mm), confirming a quantitative relationship between hematoma size and abruption risk. Compared to other imaging measures (such as placental thickness), retroplacental hematoma width shows more dynamic changes, facilitating continuous ultrasound monitoring of disease progression and aiding the timely selection of interventions [26].
The combined use of PlGF and the sFlt-1/PlGF ratio, as molecular markers reflecting placental function and vascular endothelial status, represents the core innovation of this model. PlGF, an angiogenic factor secreted by placental trophoblast cells, directly indicates impaired trophoblast invasion and insufficient angiogenesis when its levels decline (OR = 0.982), leading to placental ischemia and hypoxia. Although PlGF is an independent risk factor, its relatively small effect size (OR = 0.982) suggests that each unit change has limited clinical impact on abruption risk and must be assessed in combination with other predictors. sFlt-1, a soluble receptor of PlGF, competitively inhibits the vascular protective effects of PlGF. An elevated sFlt-1/PlGF ratio (OR = 1.100) amplifies endothelial injury effects [27]. A study indicate this ratio better captures the imbalance between “angiogenesis and anti-angiogenesis” than individual indicators alone. In preeclampsia patients, this ratio may increase 4–6 weeks before clinical symptoms emerge, highlighting its early warning potential for placental abruption [11]. In addition, the ratio is less influenced by placental size and gestational age, providing more stable prediction performance than PlGF alone.
The core advantages of this study are evident in two main aspects. Firstly, it precisely integrates multi-dimensional indicators. Unlike previous studies focusing solely on biomarkers or imaging, this model systematically includes demographic characteristics, clinical signs, imaging indicators, and molecular markers. Thus, it establishes a comprehensive “clinical-imaging-molecular” framework, covering the entire pathological progression of placental abruption. Secondly, the model demonstrates substantial clinical translation value. The visually intuitive design and strong predictive performance (high C-index and AUC) enhance its practicality and scientific validity. Consequently, it provides clinicians with a directly applicable risk assessment tool, shifting placental abruption prediction from “empirical judgment” toward “data-driven decision-making”.
The limitations of this study were as follows: (1) Single-center sampling. All 260 patients in this study were from the same hospital. Although random grouping ensured homogeneity between the training and validation sets, regional population biases may still exist. For instance, the age distribution and incidence of underlying diseases among pregnant women in this region may differ from those in other areas. Therefore, the model may be more suitable for local populations and less applicable to regions with different demographic structures and lifestyle habits. Future multicenter studies should collect samples from various regions and hospital levels to validate and optimize the model. (2) Lack of external validation. Due to the short study period (January 2022 to October 2024), establishing data-sharing mechanisms with other centers was not feasible. Additionally, external validation requires strict adherence to inclusion and exclusion criteria, making it difficult to gather sufficient comparable data quickly. This significantly limits the generalizability of the model across different clinical settings. In future research, we plan to collaborate with multiple hospitals, collect more diverse samples, and conduct external validation to enhance the model’s applicability. (3) Omission of potential indicators. This study did not include factors such as placental blood flow resistance indices (e.g., uterine artery PI) or coagulation indicators (e.g., prothrombin time), which may influence placental abruption. Expanding the indicator dimensions in future studies could improve the robustness of the model.
In conclusion, the nomogram developed in this study accurately predicts placental abruption risk in severe preeclampsia by integrating multi-dimensional indicators. Its high predictive performance and clinical usability offer new perspectives for managing critical obstetric conditions. Future multicenter research should increase sample size, perform external validation, and investigate dynamic monitoring indicators (such as the rate of change in retroplacental hematoma width and the trend of sFlt-1/PlGF ratio) to further enhance the model’s application across varied clinical scenarios.
The data used or analyzed during the current study are available from the corresponding author on reasonable request.
LS and YW conceived and designed the study; GH collected the data; LS and YW performed formal analysis and statistical analysis; YW provided resources and supervised the study; LS constructed the nomogram and visualized the data. All authors contributed to the critical revision of the manuscript for important intellectual content. All authors read and approved the final manuscript. All authors have participated sufficiently in the work and agreed to be accountable for all aspects of the work.
The study was approved by the Ethics Committee of Ezhou Central Hospital (No. EZCH0141), and informed consent was obtained from all patients. This study was conducted in accordance with the Declaration of Helsinki.
The authors wish to thank Dr. Lihuan Zhu for his valuable technical assistance in statistical analysis and data visualization.
This research received no external funding.
The authors declare no conflict of interest.
References
Publisher’s Note: IMR Press stays neutral with regard to jurisdictional claims in published maps and institutional affiliations.




