† These authors contributed equally.
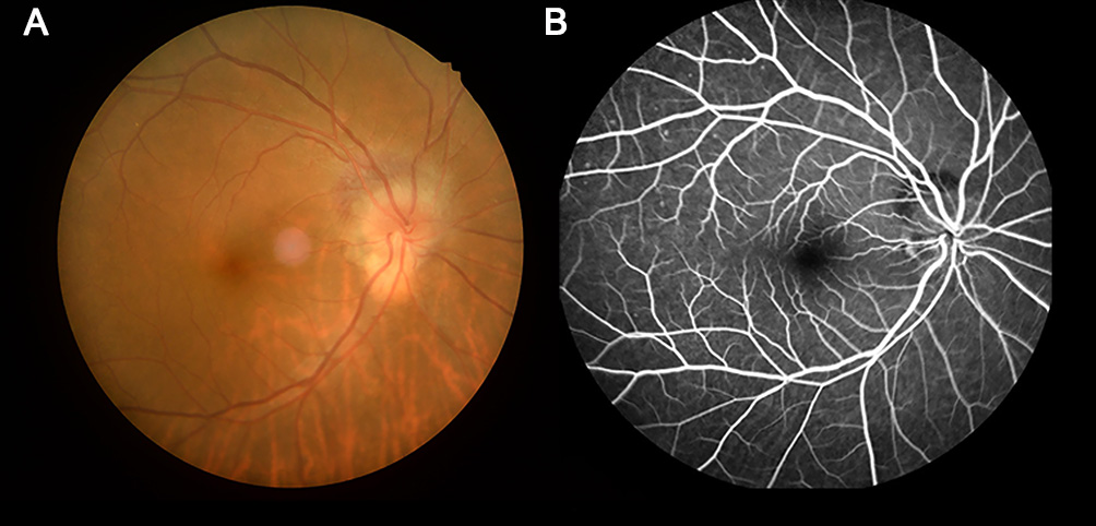
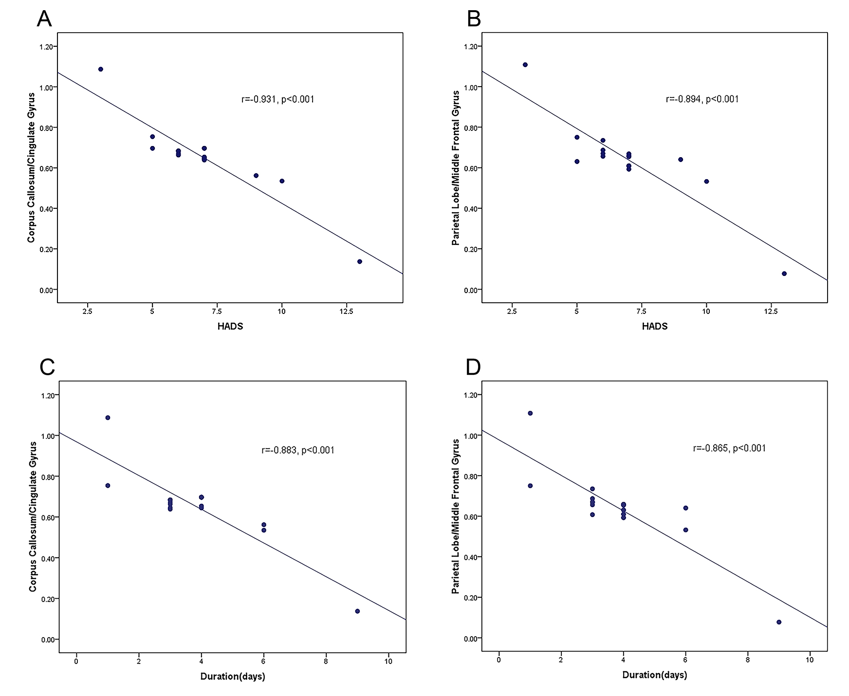
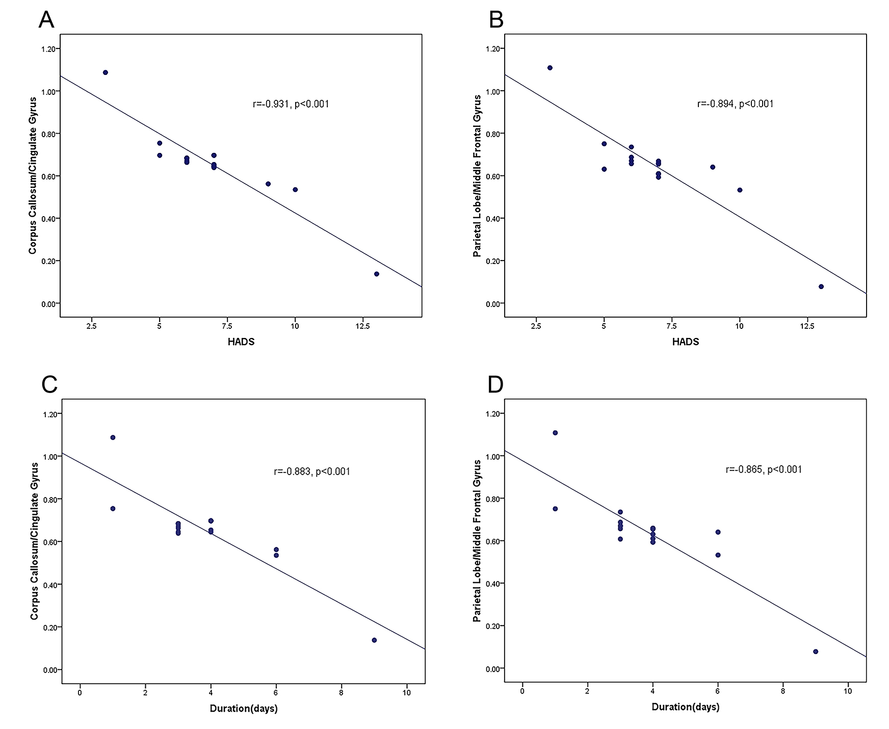
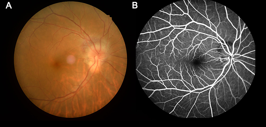
This research investigates the characteristics of spontaneous brain activity in dysthyroid optic neuropathy patients using the regional homogeneity technique. Sixteen patients with dysthyroid optic neuropathy and 16 thyroid-associated ophthalmopathy patients without dysthyroid optic neuropathy were recruited, matched for weight, height, age, sex, and educational level. All participants underwent resting-state functional nuclear resonance imaging, and the characteristics of spontaneous brain activity were evaluated using the regional homogeneity technique. Each participant in the dysthyroid optic neuropathy group also completed the Hospital Anxiety and Depression scale. Receiver operating characteristic curves were used to compare brain activity between the two groups. Pearson correlation analysis evaluated the relationship between regional homogeneity and clinical manifestations in dysthyroid optic neuropathy patients. In addition, we analyzed the correlation between Hospital Anxiety and Depression scale and regional homogeneity. We found that the regional homogeneity values at the corpus callosum/cingulate gyrus and parietal lobe/middle frontal gyrus significantly decreased in dysthyroid optic neuropathy patients. Regional homogeneity values at the corpus callosum/cingulate gyrus and parietal lobe/middle frontal gyrus were negatively correlated with Hospital Anxiety and Depression scale and disease duration. It was found that the regional homogeneity signal values were significantly lower than in thyroid-associated ophthalmopathy without in dysthyroid optic neuropathy, which may indicate a risk of regional brain dysfunction in dysthyroid optic neuropathy. The results show that regional homogeneity has the potential for early diagnosis and prevent dysthyroid optic neuropathy. In addition, the findings suggest possible mechanisms of dysthyroid optic neuropathy optic nerve injury. They may provide a valuable basis for further research on the pathological mechanisms of dysthyroid optic neuropathy.


